
다중분광센서 탑재 드론을 활용한 켄터키블루그래스의 식생지수 분석
Ⓒ The Korean Environmental Sciences Society. All rights reserved.
This is an Open-Access article distributed under the terms of the Creative Commons Attribution Non-Commercial License (http://creativecommons.org/licenses/by-nc/3.0) which permits unrestricted non-commercial use, distribution, and reproduction in any medium, provided the original work is properly cited.
Abstract
This study was conducted to establish a scientific and systematic maintenance strategy for Kentucky bluegrass (Poa pratensis L.), a cool-season turfgrass widely used in sports fields and golf courses. For this purpose, a drone equipped with a multispectral sensor was employed to analyze vegetation indices under different growth conditions. The primary study site was Guduk Stadium, where turf replacement was scheduled due to aging. Vegetation indices were obtained at four time points, including before and after turf replacement and after 11 months of use, and temporal variations were analyzed to derive vegetation index ranges corresponding to growth conditions. To verify the validity of the derived indices, additional analyses were conducted at the Asiad Main Stadium, Asiad Auxiliary Stadium, and a Kentucky bluegrass farm in Uiseong, Korea. As a result, vegetation index ranges that distinguished healthy turf conditions from poor conditions requiring management were identified. Furthermore, the correlation between vegetation indices and actual turfgrass conditions was confirmed through field sampling and comparative analysis. These findings demonstrate that vegetation indices derived from drones with multispectral sensors can serve as reliable scientific indicators for the maintenance and management of sports fields and golf courses.
Keywords:
Natural turf, Turf health monitoring, Turf management, NDVI, GNDVI, NDRE, LCI1. 서 론
켄터키블루그래스(Poa pratensis L.)는 전 세계적으로 가장 널리 이용되는 한지형 잔디 중 하나로, 밀도가 높고 낮은 깍기에도 잘 적응하며 엽질이 부드럽고 재생 속도가 빠르다. 또한 내음성이 비교적 양호하고 서늘한 기후에서 최상의 품질을 유지할 수 있어 경기장과 골프장에서 널리 활용되고 있다(Korea Turfgrass Research Institute, 2010). 국내에서도 서울 상암 월드컵경기장을 비롯한 주요 축구장과 골프장 페어웨이에 폭넓게 식재되어 있으며, 잔디 문양 형성 등 종합적인 품질이 우수한 초종으로 평가된다(Kim, 2005).
켄터키블루그래스의 생육 적온은 15~24℃로 주로 봄과 가을에 활발히 자라지만, 내서성과 내건성이 약해 여름철 고온기(7~8월)에는 수분 스트레스와 병해충 피해가 빈번하게 발생한다(Korea Turfgrass Research Institute, 2010). 따라서 양질의 생육 상태를 유지하기 위해서는 토양, 지반, 영양 상태를 종합적으로 고려한 과학적 관리가 필요하다(Kim, 2005). 그러나 국내 경기장과 골프장의 유지관리는 여전히 관리자의 경험과 시각적 판단(엽색, 신초 출현 속도 등)에 의존하는 경우가 많으며, 일부 시설만이 토양분석을 통한 연간 관리계획을 수립하고 있다. 이러한 관리 방식은 관리자의 능력에 따라 편차가 크고, 화학비료 및 농약의 과다 사용으로 인한 양분 불균형과 생육 악화 문제를 유발할 수 있다. 또한 관리 기록의 부재로 인해 담당자가 교체될 경우 기존 관리 방식이 단절되어 변화하는 환경조건에 대응하기 위한 순응적 관리가 어려운 실정이다.
기존 연구에 따르면 켄터키블루그래스는 밀도가 높으나 내마모성이 낮고, 고온·건조한 조건에 매우 약하기 때문에 여름철 집중적인 관리와 관수가 필수적이다(Korea Turfgrass Research Institute, 2010). 이러한 특성은 경기장 및 골프장의 유지관리에 있어 정밀한 모니터링과 과학적 접근의 필요성을 강조한다.
따라서 경험적 관리에서 벗어나 생육 상태를 정량적으로 평가할 수 있는 체계적 관리 기법이 필요하다. 특히 다중분광센서를 탑재한 드론은 켄터키블루그래스의 생육 상태를 공간적·시계열적으로 모니터링할 수 있는 효과적인 수단으로, 경기장 및 골프장의 유지관리에 적용 가능성이 크다.
이에 본 연구는 켄터키블루그래스로 조성된 경기장 3곳(구덕운동장, 아시아드 주경기장, 보조경기장)과 경북 의성의 재배농장을 대상으로 다중분광 드론을 활용하여 생육상태별 식생지수를 분석하고, 대상지 내에서 채취한 켄터키블루그래스 시료와 비교하여 식생지수와 실제 생육 상태 간의 연관성을 규명하고자 한다. 이를 통해 켄터키블루그래스의 과학적 유지관리 및 생육 상태 분석에 활용 가능한 기초자료를 제공하는 것을 목적으로 한다.
2. 재료 및 방법
2.1. 연구대상지 및 연구기간
본 연구는 켄터키블루그래스의 생육 상태에 따른 식생지수 범위를 분석하기 위하여 수행되었으며, 주요 연구대상지는 부산광역시 서구의 구덕운동장(7,790 m2)으로, 노후 잔디 전면 교체 공사가 예정된 지역이다(Fig. 1). 2022년 10월 기존 잔디 교체와 함께 배수 및 토양 조건이 개선되었으며, 경기장은 통기와 채광이 양호하여 광합성에 유리한 환경을 갖추고 있다. 그러나 유지관리의 상당 부분은 현장 관리자의 경험에 의존하는 실정이다.
Study site classification of the primary (Gudok Stadium) and comparison sites (Asiad Main and Auxiliary Stadiums).
검증 대상지로는 켄터키블루그래스를 식재하여 조성한 동일 지역 내 두 개의 축구장인 아시아드 주경기장(71,760 m2)과 보조경기장(8,206 m2)을 대조구로 포함하였다(Fig. 1). 보조경기장은 개방 구조로 생육 조건이 양호하나, 주경기장은 돔 구조의 특성으로 인해 그늘과 통풍 부족이 발생하여 일조량이 감소하고 광합성이 제한된다. 또한 이러한 환경특성으로 내부에 수분이 장시간 머물면서 병해 발생이 잦아지고 잔디의 회복이 지연되는 경향이 있다. 두 경기장은 모두 경기 및 행사 이용 빈도가 높으며, 관리 또한 연 1회 토양분석에 따른 시비 계획과 관리자의 경험에 의존하고 있다.
추가적으로 양호한 품질의 켄터키블루그래스 식생지수 값을 검증을 위하여, 대조구(control site)로 경상북도 의성군에 위치한 켄터키블루그래스 재배농장(24,829 m2)을 조사 대상에 포함하였다(Fig. 2). 해당 농장은 경기장 및 골프장용 잔디를 생산·납품하며, 연 2회의 파종과 수확이 이루어진다. 공기 순환, 배수, 채광 등 생육에 적합한 환경을 보유하고 있으며, 숙련된 관리자의 체계적 유지관리를 통해 양질의 잔디를 생산하고 있다.
연구 기간은 구덕운동장 잔디 교체 공사 전후를 포함하여 2022년 7월부터 2023년 10월까지 진행되었다.
2.2. 연구내용 및 방법
본 연구에서는 UAV(드론)에 탑재된 DJI Phantom 4 Multispectral을 사용하였다. 비행 고도는 50 m, 종·횡 중첩도는 70%로 설정하여 GSD 2 cm 이하의 고해상도 정사영상을 확보하였으며, 위치 정확도 향상을 위해 DJI D-RTK 2 모바일 스테이션을 병행하였다. 또한 켄터키블루그래스의 생육 상태를 분석하기 위해 드론 정사영상의 5개 분광 밴드를 활용하여 식생지수를 산출하였다. Fig. 3은 구덕운동장, Fig. 4는 아시아드 주경기장, Fig. 5는 아시아드 보조경기장, Fig. 6은 의성 잔디농장을 대상으로 UAV로 구축한 정사영상을 나타낸다.
구덕운동장의 식생지수는 총 4회 14개월에 걸쳐 수집되었으며, 식생지수 조사 시기는 ① 2022년 7월 1일(노후 잔디 교체 전, 생육 불량), ② 2022년 10월 27일(신초 식재 직후, 생육 양호), ③ 2022년 11월 11일(교체 1개월 후 활착 상태), ④ 2023년 9월 5일(교체 11개월 후, 이용 빈도 증가 시점)이다.
비교 대상지인 아시아드 주경기장, 보조경기장, 의성 켄터키블루그래스 재배농장은 2023년 10월에 각각 1회씩 동일 조건(비행 고도, 시간대, 센서 설정 등)으로 식생지수를 수집하였다.
영상 기반 식생지수(vegetation Index)는 식생의 생육 상태 및 변화 정도를 정량적으로 나타내는 대표적인 지표로 활용되고 있다. 식생지수는 건강한 식생과 생육이 저하된 식생 간에 나타나는 분광 반사 특성의 차이를 기반으로 산출되며, 특히 근적외선(Near-Infrared, NIR) 영역에서의 높은 반사율과 가시광선 영역 중 적색광(red) 영역에서의 낮은 반사율 특성을 이용하여 계산된다.
일반적으로 식생지수 값은 –1.0에서 1.0의 범위를 가지며, 값이 1에 가까울수록 식생의 밀도와 활력도가 높은 상태를 의미한다(Kim, 2021).
본 연구에서는 대표적인 식생지수인 NDVI (Normalized Difference Vegetation Index), GNDVI (Green Normalized Difference Vegetation Index), NDRE (Normalized Difference Red Edge), LCI (Leaf Chlorophyll Index)를 선정하여 산출하였다. 영상 처리는 Pix4Dmapper (v4.5, Pix4D S.A., Lausanne, Switzerland)를 이용하였으며, 각 식생지수는 다음의 식을 적용하여 계산하였다.
NDVI = (NIR – Red) / (NIR + Red)NDVI = (NIR : 근적외선파장 반사값,NDVI = Red : 적색파장 반사값)
NDRE = (NIR – RedEdge) / (NIR + RedEdge)NDRE = (NIR : 근적외선파장 반사값,NDRE = RedEdge : 적변파장 반사값)
GNDVI = (NIR-GREEN) / (NIR+GREEN)GNDVI = (NIR : 근적외선파장 반사값,GNDVI = GREEN : 녹색파장 반사값)
LCI = (NIR-RedEdge) / (NIR+Red)LCI = (NIR : 근적외선파장 반사값,LCI = Red : 적색파장 반사값,LCI = RedEdge : 적변파장 반사값)
측정 시간대에 따른 태양 고도 및 광 조건 차이를 최소화하기 위하여 모든 UAV 촬영은 맑은 날을 기준으로 동일 시간대(±1시간 이내)에 수행하였다. 데이터 전처리는 DJI Terra를 활용하여 밴드별 정사영상을 생성하고, 태양 고도 변화에 따른 방사량 변동을 보정하기 위해 촬영 시 분광보정패널(Calibration Reflectance Panel, CRP)을 이용하여 대기 및 광 조건을 보정 하였다.
후처리 단계에서는 대기보정 결과를 반영하고, 각 분광 영역의 중심파장 정보와 함께 촬영 시기의 태양 고도(solar elevation), 태양 방위각(solar azimuth), 촬영 시각(acquisition time) 등 현장 취득 정보를 영상 메타데이터에 입력하였다. 이러한 메타데이터 구축은 시기 간 정량적 비교 분석의 정확성을 확보하기 위한 절차이다.
본 연구에서는 켄터키블루그래스의 생육 상태와 식생지수 간의 상관성을 검토하기 위하여 2023년 9월 각 대상지에서 1회씩 시료를 채취하였다. 시료 채취는 토양 시료 채취기를 이용하여 수행하였으며, 식생지수 영상과 시각적 판단을 바탕으로 생육이 양호한 구역과 불량한 구역을 각각 선정하였다. 각 구역에서 지면으로부터 약 15 cm 깊이까지 켄터키블루그래스 시료를 확보하였다.
뿌리와 잎의 생육 상태를 관찰한 이유는 잔디의 뿌리가 생육을 판단하는 중요한 선행 지표이기 때문이다 (Tae, 2025).
채취된 시료는 실내로 운반하여 잎과 뿌리의 상태를 정밀 관찰하였다. 잎의 색상, 밀도 및 균일도 등을 기록하였으며, 생육 상태 평가는 잔디 품질평가 기준 중 생육과 관련된 평가 항목을 적용하였다.
잔디 품질 평가는 외관적 균일성과 생리적 활력도를 종합적으로 고려하여 이루어지며, 생육과 관련된 주요 지표로는 잎의 밀도, 엽폭, 엽색(녹색도), 그리고 뿌리 발달 정도가 포함된다. 이러한 지표가 기준 범위 내에서 유지될 경우 양호한 품질 상태로 평가된다.
잎의 밀도는 25 개/cm2 이상일 경우 ‘높음’, 20–25 개/cm2는 ‘보통’, 20 개/cm2미만은 ‘낮음’으로 구분하였으며, 밀도가 높을수록 양호한 상태로 판단하였다. 뿌리 발육은 뿌리 길이와 뿌리 밀도의 관계를 기준으로 평가하였으며, 지상부와 지하부 생육의 균형을 나타내는 T(Top)/R(Root)율이 1 : 6–7일 때 이상적인 상태로 판단하였다. 엽폭은 1.5–3 mm 범위에서 균일하게 유지되는 경우 양호한 상태로 평가하였으며, 엽색은 선명한 녹색을 유지하는 상태를 바람직한 생육 상태로 판단하였다. 이러한 기준에 따라 각 대상지 시료의 생육 상태를 비교·분석하였다.
3. 결과 및 고찰
3.1. 구덕운동장의 시기별 식생지수 분석결과
구덕운동장에서 2022년 7월, 10월, 11월, 2023년 9월 총 4회에 걸쳐 식생지수를 수집한 결과, 2022년 7월의 식생지의 평균값은 NDVI는 0.72, GNDVI는 0.61, NDRE는 0.13, LCI는 0.20으로 나타났고(Table 1), 일부 구간의 예지 작업으로 인해 잎 길이 차이가 발생하였으며, 이에 따른 반사율 편차가 식생지수 영상(Fig. 8)에서 확인되었다. 또한 이러한 영향으로 표준편차에서도 비교적 큰 차이(Fig. 7)가 나타났다. 예지 구간과 미예지 구간 간의 식생지수 차이는 약 0.10~0.25 범위로 확인되었다(Table 2).
노후 잔디 교체 직후인 2022년 10월 구덕운동장의 식생지수의 평균값은 NDVI 0.72, GNDVI 0.64, NDRE 0.16, LCI 0.25로 나타났으며(Table 3), 식생지수의 분포는 평균값을 중심으로 집중되는 경향을 보였다(Fig. 9). 잔디의 생육 상태는 시각적으로 양호하였으나(Fig. 10), 수치상으로는 7월과 유사한 경향을 보여, 이는 식재 과정에서 수행된 예초 및 배토 처리에 따른 잎 길이 단축과 모래 피복으로 인한 반사율 저하의 영향으로 판단된다.
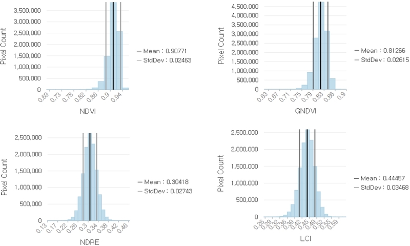
2023년 11월의 식생지수는 평균값은 NDVI 0.91, GNDVI 0.81, NDRE 0.30, LCI 0.44로 나타났으며(Table 4), 각 식생지수의 분포는 평균값을 중심으로 집중되는 경향을 보였다(Fig. 11). 또한 식생지수 분포는 다른 시기에 비해 높은 값을 나타냈으며, 특히NDVI 와 GNDVI 값이 1에 가까운 범위를 보여 해당 시기의 켄터키 블루그래스 생육 상태가 상대적으로 양호하였음을 의미한다. 이러한 경향은 식생지수 영상에서도 양호한 상태로 확인되었다(Fig. 12). 이러한 결과는 잔디의 활착이 안정적으로 이루어지고 이용에 따른 훼손이 발생하지 않아 생육 상태가 양호하게 유지된 것으로 판단된다.
2023년 9월의 식생지수의 평균값은 NDVI 0.75, GNDVI 0.65, NDRE 0.19, LCI 0.28로 나타났으며(Table 5), 각 식생지수의 분포는 평균값을 중심으로 집중되는 정규분포에 가까운 형태로 보였다(Fig. 13). 이러한 결과는 2022년 11월보다 낮고 2022년 7월과 유사한 수준으로 나타났다. 그러나 식생지수 영상에서는 부분적인 훼손이는 뚜렷하게 확인되었는데(Fig. 14), 이는 대관 행사 등 잦은 이용에 따른 잔디 훼손과 여름철 고온다습한 환경에 의한 생육 스트레스가 복합적으로 작용한 결과로 판단된다.
3.2. 구덕운동장의 식생지수 변화 분석 및 고찰
구덕운동장의 켄터키블루그래스를 대상으로 2022년 7월부터 2023년 9월까지 식생지수 변화를 분석한 결과, 잔디 교체 공사 후 한 달이 지난 2022년 11월에는 모든 식생지수가 상대적으로 높게 나타나 양호한 생육 상태를 보였다. 그러나 교체 후 11개월이 경과한 2023년 9월에는 다시 낮은 값을 기록하여 생육이 저하된 것으로 분석되었다(Table 6, Fig. 15).
전반적으로 2022년 7월, 10월, 2023년 9월의 식생지수는 유사하게 낮은 수준을 보여 관리 미흡 또는 환경적 스트레스에 의한 불량한 생육 상태를 반영한 것으로 판단되며 반면, 2022년 11월의 식생지수는 체계적인 관리와 훼손의 부재로 인해 활착이 안정화된 건전한 생육 상태를 반영한 것으로 해석된다.
3.3. 비교 대상지들의 식생지수 분석
2023년 10월 6일 부산 아시아드 주경기장의 식생지수는 평균값은 NDVI 0.72, GNDVI 0.59, NDRE 0.16, LCI 0.23으로 나타났으며(Table 7, Fig. 16), 이는 구덕운동장의 관리가 필요한 잔디와 유사한 수준으로 시각적으로도 생육 상태가 불량하였다(Fig. 17). 이러한 결과는 현대아이파크 축구팀의 경기와 각종 행사에 따른 잔디 훼손, 그리고 돔 구조로 인한 음지 환경조건이 복합적으로 작용하여 호광성 잔디의 회복과 생육이 지연된 데 기인한 것으로 판단된다.
2023년 10월 6일 부산 아시아드 보조경기장의 식생지수 평균값은 NDVI 0.76, GNDVI 0.64, NDRE 0.19, LCI 0.28로 나타났다(Table 8). 보조경기장은 주경기장보다 이용 빈도가 높지만, 개방된 구조로 광합성이 원활하게 이루어져 호광성인 켄터키블루그래스의 회복 및 생육 상태가 양호하게 나타났다. 이에 따라 식생지수는 주경기장보다 다소 높은 값을 보였으며, 표준편차 또한 작게 나타났다(Fig. 18). 또한 식생지수 영상에서도 골대 및 중앙부의 훼손 정도가 주경기장에 비해 상대적으로 양호하게 확인되었다(Fig. 19).
2023년 10월 6일 의성 켄터키블루그래스의 식생지수 평균값은 NDVI 0.81, GNDVI 0.73, NDRE 0.26, LCI 0.38로 나타났다(Table 9). 식생지수의 분포는 전체 면적의 50% 정도가 고온 피해를 받아, 이에 따라 낮은 식생지수 값이 다른 대상지에 비해 상대적으로 넓은 범위로 분포하는 경향을 보였다(Fig. 20).
식생지수 값들은 구덕운동장의 가장 양호했던 시기의 식생지수보다 다소 낮게 나타났으나, 관리 또는 복구가 필요한 수준보다는 높은 값을 보였다. 다만 일부 구역에서 고온 피해로 인한 생육 저하가 발생하여 전체적으로 평균값이 낮아지고 표준편차가 크게 나타났다.
특히 식생지수 영상에서는 피해 구역과 비피해 구역이 뚜렷이 구분되었으며, 비피해 구역은 구덕운동장의 양호한 상태와 유사한 수준으로 확인되었다(Fig. 21).
3.4. 구덕운동장과 비교 대상지들의 식생지수 비교 분석
구덕운동장의 켄터키블루그래스 식생지수 분석 결과는 Table 10, 비교 대상지들의 식생지수 분석결과는 Table 11에 제시하였다. 두 결과를 비교·분석한 결과, 생육 상태가 불량하여 관리가 필요한 구간의 식생지수는 NDVI 평균 0.7대, GNDVI 0.6대, NDRE 0.1대, LCI 0.2대로 나타났으며, 양호한 생육상태를 보이는 구간의 식생지수는 NDVI 평균 0.9, GNDVI 0.8, NDRE 0.3, LCI 0.4 수준으로 도출되었다. 이러한 결과는 식생지수가 켄터키블루그래스의 생육상태를 정량적으로 구분할 수 있는 유효 지표임을 보여준다.
3.5. 식생지수와 실제 생육상태와 상관관계 분석
본 연구에서는 식생지수가 켄터키 블루그래스의 실제 생육 상태와 연관성을 가지는지를 평가하기 위하여, 각 대상지별로 시료를 채취하여 비교·분석하였다. 또한 대상지 내에서도 시각적으로 품질이 우수한 구역과 불량한 구역(예: 골대 주변)을 구분하여 식생지수 영상과의 상관성을 분석하였다.
구덕운동장의 경우, 반복적인 경기 이용으로 훼손된 골대 주변 시료와 시각적으로 양호한 지역의 시료를 비교한 결과, 식생지수 영상의 차이는 실제 시료의 잎 및 뿌리 생육 발달 상태와 밀접한 연관성을 보였다(Table 12). 식생지수가 낮은 구역에서는 잎의 수, 뿌리 길이 및 발근 수가 현저히 감소하였으며, T/R율 또한 1:3 이하로 나타났다. 반면, 양호한 지역의 시료는 일정한 엽폭과 높은 밀도를 유지하였고, T/R율도 약 1:6 수준으로 이상적인 범위에 근접하였다.
의성 켄터키 블루그래스 재배농장에서도 유사한 경향이 나타났다. 고온 스트레스가 가해진 구역은 식생지수가 낮게 산출되었으며, 잎의 길이와 밀도가 감소하고 엽색이 황변되는 등 생육 저하가 관찰되었다. 다만 파종 후 경과 기간이 짧아 대취층(thatch layer)이 형성되지 않아 토양과 뿌리의 결착이 약하였으며, 이에 따라 뿌리 상태를 다른 대상지보다 명확하게 관찰할 수 있었다(Table 13).
아시아드 주경기장은 전반적으로 음지 환경과 과습 토양의 영향을 받아 식생지수상 양호 구역과 불량 구역 모두 다른 대상지에 비해 생육 상태가 저조하였다. 잎의 밀도가 낮고 엽폭이 가늘어지며 황화 현상이 관찰되었다. 시료 채취 시에는 토양 수분으로 인해 지상부와 지하부가 일시적으로 유지되었으나, 토양을 제거하는 과정에서 과습으로 연화된 잎과 줄기가 쉽게 파손되었다. 그럼에도 불구하고 양호 구역과 불량 구역 간에는 식생지수와 생육 상태 간의 경향성이 유지되었으며, 특히 잎보다는 뿌리 발근 상태에서 차이가 두드러졌다(Table 14).
아시아드 보조경기장 또한 식생지수 영상과 시료 생육 상태 간의 연관성을 나타냈다. 다만 다른 대상지에 비해 양호 구역과 불량 구역 간의 차이가 크지 않아, 전반적으로 생육이 비교적 균일하게 분포하는 경향을 보였다. 주경기장에 비해 상대적으로 일조량과 통기성이 확보된 환경 조건으로 인해 생육 상태는 양호하였다(Table 15).
종합적으로 분석한 결과, 구덕운동장과 아시아드 보조경기장은 식생지수 영상과 실제 생육 상태가 높은 상관성을 보였으며, 식생지수가 높을수록 뿌리 발달과 잎 밀도가 우수하였다. 반면, 아시아드 주경기장은 음지·과습 환경으로 생육이 저하되었음에도, 토양 수분에 따른 반사율 유지로 인해 식생지수 값이 상대적으로 높게 나타났다. 의성 농장의 경우 파종 후 6개월이 지났음에도 이용 압력이 낮고 집중 관리가 이루어져, 잎과 근계 발달이 양호한 생육 상태를 유지하였다(Table 16).
4. 결 론
켄터키 블루그래스의 생육 모니터링을 위하여 드론 기반 다중분광 센서를 활용하여 NDVI, GNDVI, NDRE, LCI를 산출하고, 생육 상태별 변화를 분석하였다.
분석 자료는 구덕운동장을 대상으로 2022년 7월, 10월, 11월 및 2023년 9월에 촬영된 총 4회의 다중분광 영상이다. 2022년 7월의 경우 예초 작업 전후의 식생지수를 비교할 수 있었으며, 예초 후 NDVI 0.25, GNDVI 0.24, NDRE 0.09, LCI 0.18의 변화가 나타났다. 이는 예초로 인해 잎 길이가 짧아지면서 엽면적 감소와 반사율 변화가 발생한 결과로 판단된다. 해당 변화는 실제 생육 저하와 직접적인 관련이 있다기보다, 잎 길이 조건 차이에 따른 광학적 반응 차이로 해석된다. 따라서 식생지수 비교 시 동일한 예초 조건 및 관리 이력 하에서 분석이 이루어져야 함을 확인하였다.
생육 상태별 식생지수 관찰 결과, 켄터키 블루그래스 식재 후 이용자에 의한 훼손이 없는 상태에서 한 달 정도 집중 관리한 2022년 11월의 식생지수는 모든 항목에서 높은 값을 나타냈으며, 다른 시기와 비교한 결과 뚜렷한 차이를 보였다. 이를 기준으로 구덕운동장 양호 생육 상태의 식생지수 범위 NDVI는 약 0.9, GNDVI 약 0.8, NDRE 약 0.3, LCI 약 0.4로 정리할 수 있으며, 이 범위는 경기장 이용에 따른 훼손이 적고 관리 상태가 우수한 조건에서 나타나는 기준값(reference range)으로 활용 할 수 있으며 관리의 목표로 활용 가능하다.
구덕운동장의 식생지수 기준을 검증하기 위하여, 동일한 축구경기장이면서 이용빈도가 높고 생육환경이 상대적으로 불리한 아시아드 주경기장 및 보조경기장과, 이용자가 없고 고관리 체계가 유지되는 의성 켄터키 블루그래스 농장의 식생지수를 수집·비교하였다.
비교 결과, 아시아드 주·보조경기장의 식생지수는 구덕운동장에서 생육이 불량한 상태(노후잔디, 활착 전, 이용 후 회복기 등)와 유사한 범위를 나타냈다. 이는 높은 이용 압력과 답압, 생육 환경 제약 요인이 반영된 결과로 판단된다. 반면, 의성 농장의 식생지수는 여름철 고온 스트레스 영향을 고려하였을 때, 구덕운동장의 가장 양호한 상태와 유사한 수준을 보였다. 이는 이용 압력이 없고 전문적인 관리가 이루어진 결과로 해석된다.
따라서 본 연구에서 제시한 양호 생육 상태의 식생지수 범위는 타 대상지 비교를 통해서도 일정 수준의 타당성이 확인되었다. 또한 식생지수의 현장 적용성을 검증하기 위하여 시료채취를 통해 실제 생육상태와 비교 분석을 하였다. 동일 대상지내에서도 식생지수 영상에서 양호한 이미지에서 채취된 시료는 생육상태가 양호한 편이었고, 영상에서 낮은 식생지수에서 채취한 시료는 생육상태가 불량하였다. 그리고 대상지 간 비교에서도, 음지환경인 아시아드 주경기장을 제외하고는 유사한 식생지수를 가진 시료들은 잔디 품질 평가 기준면에서 유사한 상태를 나타내었다. 이는 식생지수가 실제 켄터키블루그래스의 생육상태를 반영함을 의미한다.
다만 본 연구는 다중분광 기반 식생지수와 실제 생육 상태 간의 관계를 확인하였으나 토양 영양상태, 켄터키블루그래스 영양상태를 종합적으로 분석하지 못하고 시각적으로비교에 의존하였다. 향후 연구에서는 토양 분석 및 엽분석 자료를 병행하여 식생지수와 의 상관성을 검증할 필요가 있다.
그리고 켄터키블루그래스 지피식물 특성상 예고 및 배토 여부에 따라 지표 반사율이 크게 달라질 수 있으나 이를 충분히 반영하지 못하였다. 실제로 2022년 10월 구덕운동장은 생육 상태가 양호하였음에도 불구하고 예고 및 배토사 노출로 인해 반사율이 낮게 측정되어, 교체 전 잔디 상태였던 2022년 7월과 유사한 식생지수가 도출되었다. 따라서 향후 연구에서는 관리 이력(예초, 예고, 통기, 배토 등)을 체계적으로 기록하고, 촬영 시점과 연계하여 분석하는 정밀 모니터링 체계 구축이 필요하다.
REFERENCES
-
Choi, S. K., Lee, S. K., Wang, B. Z., 2014, Analysis of vegetation cover fraction on landsat OLI using NDVI, J. Korean Soc. Surv. Geod. Photogramm. Cartogr., 32(1), 9-17.
[https://doi.org/10.7848/ksgpc.2014.32.1.9]
- Heo, H. J., 2025, Training materials for golf course superintendents, Korea Turfgrass Research Institute, 35–51.
- Kim, K. N., 2005, Turfgrass management, Sahmyook University Press, 433.
-
Kim, Y. S., 2021, Analysis of vegetation change in Taehwa River basin using drone hyperspectral image and multiple vegetation indices, J. Korean Env. Res. Tech., 24(1), 97–110.
[https://doi.org/10.13087/kosert.2021.24.1.97]
-
Kim, Y. S., 2021, Detection of ecosystem distribution plants using drone hyperspectral spectrum and spectral angle mapper, J. Environ. Sci. Int., 30(2), 173-184.
[https://doi.org/10.5322/JESI.2021.30.2.173]
- Korea Turfgrass Research Institute, 2010, Korea Turfgrass Research Institute homepage, https://www.ktri.or.kr, .
- Lee, J. H., Choi, J. Y., Lee, S. H., Joo, Y. K., 2008, Effect of high-humidity and high temperature at Kentucky Bluegrass growth in summer, Kor. Turfgrass Sci., 22(2), 133-140, https://koreascience.kr/article/JAKO200806942467565.pdf
- Park, N. J., Lim, J. H., Seo, C. U., Yoon, H. C., 2019, Vegetation change detection system development using drone with multispectral camera, Proceedings of the Korean Society of Civil Engineers Conference, 355-356.
- Tae, H.-S., 2025, Leisure Newspaper homepage, http://www.golftimes.co.kr/news/articleView, .
-
You, J. H., Kim, M. Y., Kim, J. G., Shin, K. C., 2020, Detection of pine wilt disease using RGB-based low altitude Images and spectral vegetation indices from a drone, J. Agri. Life Sci., 54(6), 21-27.
[https://doi.org/10.14397/jals.2020.54.6.21]
Department of Urban Planning and Landscape Architecture, Dong-A University Graduate Schoolecom2013@daum.net
Department of Landscape Architecture, Dong-A Universitycdgileco@dau.ac.kr





















: Sample collection from visually healthy areas
: Sample collection from visually poor areas