
소유역 농경지에 대한 친환경 퇴비의 수질 및 토양질에 미치는 영향 연구
Ⓒ The Korean Environmental Sciences Society. All rights reserved.
This is an Open-Access article distributed under the terms of the Creative Commons Attribution Non-Commercial License (http://creativecommons.org/licenses/by-nc/3.0) which permits unrestricted non-commercial use, distribution, and reproduction in any medium, provided the original work is properly cited.
Abstract
This study aimed to evaluate the efficiency of eco-friendly livestock manure compost in reducing nonpoint source pollution in the Songya Stream watershed located in the upper Nakdong River Basin, Andong, South Korea. As part of a community-based agricultural nonpoint pollution management project, monitoring was conducted in four agricultural plots—two treated with eco-friendly compost and two treated with conventional compost. Water quality (biochemical oxygen demand (BOD), total organic carbon (TOC), total nitrogen (TN), total phosphorus (TP), total suspended solids (TSS), and pH) and soil parameters (pH, electrical conductivity, organic matter, available phosphate, cation exchange capacity, and available silica) were analyzed after major rainfall events in 2024 period. The results showed that BOD, TOC, and TP concentrations decreased by 10–25% in the eco-friendly compost plots, while TN and TSS showed little change. Soil fertility improved with increasing organic matter and cation exchange capacity levels. These findings indicate that eco-friendly compost enhances soil quality and contributes to the reduction of nutrient runoff, suggesting its potential as an effective best management practice for agricultural nonpoint source pollution control in rural watersheds.
Keywords:
Eco-friendly compost, Agricultural nonpoint source (NPS), BMP, Songya Stream, Runoff water quality, Soil fertility1. 서 론
낙동강 상류권역에 위치한 안동시 송야천 유역은「물환경보전법」에 따라 비점오염원관리지역으로 지정되어 있으며, 유역 내 농업활동으로부터 발생하는 오염물질의 유출 관리가 수질 보전의 핵심 과제로 부각되고 있다(NIER, 2022). 낙동강 수계의 상류지역은 음용수 공급을 위한 수자원 관리 측면에서 목표수질 달성과 수질오염총량제 이행을 위한 비점오염 저감의 필요성이 특히 높다(MOE, 2023).
비점오염원은 강우 시 불특정 면적에서 광범위하게 발생하며, 배출이 간헐적이고 농도가 급격히 변동하는 특성을 가진다. 이러한 특성 때문에 관리가 어렵고, 유출 특성이 점오염원과 상이하다(Shortle et al., 2012). 특히 농업지역의 비점오염원은 화학비료나 가축분퇴비의 시비, 농경지 표면유출, 토양 침식, 배수로 관리 미흡 등 다양한 요인이 복합적으로 작용하여 발생한다. 강우 초기에 농업지역의 유출수는 생물화학적산소요구량(BOD), 총질소(T-N), 총인(T-P), 총유기탄소(TOC) 및 총부유물질(TSS)의 농도가 급격히 증가하는 경향을 보인다(Delpla et al., 2011; Park et al., 2019).
우리나라의 농촌유역에서는 경사도, 토지이용, 토양유형에 따라 비점오염의 발생양상이 달라진다(Reza et al., 2016). 특히 안동시 송야천 유역은 상류부 산림지와 중류부 농경지가 혼재되어 있으며, 경사가 비교적 큰 밭 지역이 많아 강우 시 토양침식과 함께 유거수에 의한 오염물질 유출이 빈번하게 발생한다(Kang et al., 2023). 농업유역에서는 화학비료 및 가축분퇴비의 시비 관리가 부적절할 경우 총질소(T-N), 총인(T-P), 부유물질(TSS), 총유기탄소(TOC) 등의 부하가 급격히 증가하며(Delpla et al., 2011), 특히 강우 초기의 “First flush” 현상으로 단기간 내 고농도의 유출이 발생한다(Kim et al., 2022; Kang et al., 2023)은 송야천 유역의 비점오염물질 유출 특성을 분석한 결과, 강우 사상별로 질소와 인의 유출기여율이 뚜렷하게 달라지며, 집중관리지역 설정의 필요성을 제시하였다.
비점오염 저감을 위한 최적관리기법(BMPs, Best management practices)은 구조적(Structural) 기법과 비구조적(Non-structural) 기법으로 구분된다. 구조적 기법에는 저류지, 침투시설, 식생여과대, 완충지대 등이 있으며, 비구조적 기법으로는 적정시비관리, 작부체계 개선, 주민참여형 교육 및 퇴비 관리 등이 있다(Park et al., 2019). 이러한 BMPs의 현장 적용은 농경지 특성과 지역주민 참여 정도에 따라 효율이 달라지므로, 개별 유역 특성에 적합한 관리기법의 선정과 실증평가가 필요하다.
특히, 친환경 가축분퇴비는 농업 비점오염 저감을 위한 대표적 비구조적 BMP로 주목받고 있다. 가축분퇴비는 토양의 유기물 함량을 높여 침식저감과 입단구조 개선에 기여하며, 동시에 화학비료 사용을 줄이는 효과가 있다(Choi, 2008). 그러나 퇴비의 성숙도, 인 함량, 시비시기, 시비량 등에 따라 용존성 인(DIP)과 질소의 유출이 증가할 수 있다는 보고도 존재한다(Sarazen et al., 2023). 친환경퇴비는 유기물 함량이 높고 완숙도가 높아 토양의 입단화 및 CEC를 향상시켜 침식과 인·질소 용탈을 줄일 수 있으나, 퇴비 내 인(P) 농도가 높을 경우 오히려 용존인(DIP) 유출이 증가할 수 있다는 상반된 결과도 보고되고 있다(Sarazen et al., 2023).
본 연구의 목적은 현장형 모니터링을 통해 친환경퇴비의 적용이 수질 및 토양환경에 미치는 영향을 파악함으로써 향후 농업형 비점오염 관리기법(BMPs)의 현장 효율 개선 및 정책 적용의 과학적 근거를 제공하는 것이다. 본 연구에서 사용된 친환경퇴비는 계분, 돈분, 우분이 혼합된 가축분퇴비에서 산화마그네슘과 탄산칼슘이 혼합된 광물질을 주성분으로 하는 무기질 부숙재를 가축분퇴비 무게 대비 3% 혼합하고 15일간 주기적으로 3회 이상 뒤집기를 한 이후에 30일 이상 부숙시킨 퇴비를 말한다. 이를 위해 송야천 유역 내 대표 농경지 4필지를 대상으로 친환경퇴비 살포지역과 일반퇴비 살포지역을 비교하여 수질 및 토양 특성 변화를 모니터링하였으며, 농업형 비점오염 저감을 위한 친환경 가축분퇴비의 효과를 정량적으로 평가하였다. 본 연구의 결과는 향후 낙동강 상류권역의 총량관리제 이행 및 비점오염 저감정책 수립의 기초자료로 활용될 수 있을 것이다.
2. 연구방법
2.1. 연구지역
연구대상지는 경상북도 안동시 북후면과 서후면 일대의 송야천 유역으로, 유역 면적은 약 32.5 km²이며 낙동강 본류로 유입되는 주요 지천 중 하나이다(Fig. 1). 유역 내 토지이용은 농경지가 약 58%, 임야가 약 40%를 차지하며, 주요 경작 작물은 콩, 고추, 생강, 들깨 등으로 구성되어 있다(Table 1). 조사 대상지는 친환경 가축분퇴비 시비 지역 2필지(서후면 광평리 134, 북후면 이송천리 552)와 일반퇴비 시비 지역 2필지(서후면 광평리 132, 북후면 이송천리 571)로 총 4필지를 선정하였다. 각 지점은 주 작물, 경사, 토양특성, 배수조건 등이 유사한 농경지를 기준으로 선정하였다. 퇴비 시비 후 강우 발생 시 총 3회 강우사상을 대상으로 초기유출수를 채취하였으며, 강우사상별 시료 채취 간격과 분석항목은 농촌유역의 비점오염물질 유출특성을 분석한 선행연구 절차를 준용하였다(Kim et al., 2008).
송야천 유역은 중생대 화강암 기반의 풍화토가 넓게 분포하는 지역으로, 사질토 내지 사양질 토양 특성을 보이는 것으로 알려져 있다. 화강암 기원 토양은 풍화가 진행됨에 따라 점토 함량이 낮고 입자 크기가 조립화되며, 이로 인해 양이온교환용량(CEC)이 낮고 인산에 대한 흡착능이 제한적이다(Lee and Lee, 2005). 더욱이 풍화도가 높은 화강암 지역의 인산 흡·탈착 특성을 분석한 연구에서 점토 함량이 낮고 투수성이 높은 토양에서는 용존 인(PO₄-P)의 이동성이 증가하는 것으로 보고된 바 있다(Sun et al., 2020). 이러한 특성은 강우 시 퇴비 및 비료 성분이 토양 표면으로부터 용탈되어 하류로 이동할 가능성이 큼을 시사한다.
또한, 송야천 유역은 완만한 경사지 농경지의 비율이 높고(약 2–7% 범위), 강우 시 토사 및 유기·무기 비료성분의 유출 경향이 두드러진다는 점이 선행 유역조사에서 보고된 바 있다(NIER, 2022). 이러한 유역 특성은 본 연구에서 수행한 강우유출수 모니터링의 타당성을 뒷받침하며, 친환경퇴비와 일반퇴비 처리 후 유출 특성을 비교·평가하는 데 적합한 대상지로 판단된다.
2.2. 시료 채취 및 분석
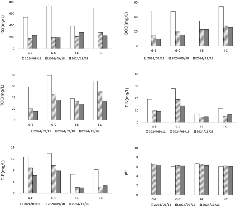
수질 시료 채취 및 분석은 강우 후 각 지점에서 발생한 표면유출수를 3회 강우사상(9월 11일, 9월 18일, 11월 26일)에 걸쳐 채취하였다. 채취수는 강우 시작 후 4개 지점을 15분 간격으로 초기 1시간 내 집중 채취하였고, 현장에서 냉장 보관 후 12시간 침전하여 상등액을 분석에 사용하였다. 시료는 강우 개시부터 종료 시점까지 총 4개 시료를 채취하였다. 분석항목은 BOD, TOC (Vario TOC cube, Elementar), T-N (UV/Vis, Cary-8454, Agilent), T-P (UV/Vis, Cary-8454, Agilent), TSS, pH (HI9025, HANNA)이며, 이는 농업 비점오염 평가의 주요 수질지표로 널리 활용된다(Park et al., 2019). 본 연구의 수질 모니터링시 강우량은 2024년 9월 11일 39.7 mm, 9월 18일 22.9 mm, 11월 26일 15.7 mm로서, 이들 세 차례 강우사상에 대하여 분석이 수행되었다. 모든 시료는 강우 개시 후 15분 간격으로 초기유출수(First flush)를 집중 채취하여 사상평균농도(EMC, Event mean concentration)를 산출하였다.
토양 시료 채취 및 분석은 2024년 11월 26일에 수행되었으며, 각 필지별로 0~15 cm 깊이에서 복합시료로 채취하였다. 분석항목은 pH, EC, 유기물(OM), 유효인산(Av.-P₂O₅), 치환성양이온(CEC), 유효규산(Av.-SiO₂)이다.
2.3. 시비 방법
본 연구에서 사용된 퇴비 품질 및 시비 관리는 「비료관리법」 기준을 충족하는 친환경 가축분퇴비로, 총인 함량이 낮고, 부숙도 기준을 충족하였다. 퇴비 시비량은 작물 권장량에 따라 헥타르(a)당 6포(20 kg)씩 1회 살포하였다. 3월 중에 비강우시 시비하고 30 cm 깊이로 경운작업을 하였다.
2.4. 자료 분석
자료 분석은 강우사상별 EMC와 부하량의 처리구(친환경퇴비)와 대조구(일반퇴비) 간 차이를 비교하기 위해 정규성 검정 후 쌍체 t-검정(Paired t-test) 및 비모수 검정(Wilcoxon signed-rank test)을 병행하였다(U.S. EPA, 1997; Rosner et al., 2006). 또한, 강우특성을 공변량으로 설정하여 선형혼합모형(linear mixed model)을 적용하였다. 저감효율은 (대조–처리)/대조×100으로 산출하였으며, 항목별 평균 저감률 및 복합저감지수를 도출하였다.
3. 결과 및 고찰
3.1. 수질 분석 결과
Table 2와 Fig. 2는 송야천 유역의 퇴비 처리 유형별(pH, BOD, TOC, T-N, T-P, TSS) 수질 항목 변화를 나타낸 것이다. 수질 분석결과 생물화학적산소요구량(BOD)는 광평리 친환경퇴비 처리구 G-E가 평균 23.9 mg/L로, 전년도 28.0 mg/L 대비 약 14.6% 감소하였으며, 이송천리 친환경퇴비 처리구 I-E가 26.7 mg/L로, 전년도 29.7 mg/L 대비 10.1% 감소하였다. 반면, 동일 지역의 일반퇴비 처리구 G-C와 I-C는 각각 27.9 mg/L 및 36.1 mg/L로 더 높은 값을 나타냈다. 이는 친환경퇴비의 유기물 안정화 효과와 토양입단 구조의 개선으로 인해 강우 시 입자상 유기물의 유출이 억제된 결과로 해석된다. 특히 강우 직후 고농도 유출이 뚜렷했던 전년도와 달리, 2024년에는 초기유출 농도 상승폭이 완화되었으며, 사상 중반 이후 농도 안정화가 빠르게 진행되었다. 이와 유사하게 농경지의 유기물 투입 및 토양 구조개선이 비점오염 저감효과를 유도한다는 연구결과가 보고된 바 있다(Choi et al., 2008).

Temporal variations in water quality parameters (pH, BOD, TOC, T-N, T-P, TSS) by compost treatment type in the Songya Stream watershed during 2024 monitoring
Temporal variations in major water quality parameters (TSS, BOD, TOC, T-N, T-P, and pH) by compost treatment type (G-E, G-C, I-E, I-C) in the Songya Stream watershed during 2024.
총유기탄소(TOC)는 G-E 처리구가 평균 31.8 mg/L로, 전년도 40.0 mg/L 대비 약 20.5% 감소하였으며, I-E 처리구가 33.6 mg/L로, 전년도 41.6 mg/L 대비 19.2% 감소하였다. 반면, 동일 지역의 G-C와 I-C는 각각 53.9 mg/L 및 51.8 mg/L로 더 높은 값을 나타냈다. 이러한 결과는 퇴비 중의 유기물 성분이 토양 내 미생물 활성에 의해 안정화되고, 강우 시 수용성 유기탄소의 용탈이 감소했기 때문으로 해석된다. 강우사상에서 용존 유기탄소가 증가하나 토양 유기물 안정도가 높을수록 유출량이 감소한다는 연구와도 일치한다(Delpla et al., 2011).
총질소 농도의 변화는 항목 중 가장 뚜렷하지 않았다. G-E 처리구는 13.0 mg/L로 전년도 14.8 mg/L 대비 12.2% 감소하였으나, I-E 처리구는 5.6 mg/L로 전년도 5.5 mg/L 대비 1.82% 증가하였다. 대조구와 비교할 때 평균 0.9–1.4 mg/L 낮았지만 통계적으로 유의한 차이는 없었다(p > 0.05). 총질소는 퇴비 내 유기태 질소와 무기태 질소의 비율, 시비시기, 강우 강도, 선행무강우일수 등 다양한 요인의 영향을 받으며, 경사가 크고 배수가 빠른 사질토에서는 질소의 침투·기저유출이 우세할 수 있다. 이러한 질소 유출 특성은 산림·농경지 혼합 유역의 질소·인의 물질수지를 분석한 연구(Reza et al., 2019)와 농촌하천에서 질산태 질소가 배경농도를 지속적으로 유지한다는 연구결과(Kim et al., 2014)에서도 제시된 바 있다.
총인(T-P)은 G-E 처리구의 평균 9.3 mg/L로 전년 10.3 mg/L 대비 9.71% 감소하였으며, I-E 처리구는 3.6 mg/L로 전년 3.7 mg/L 대비 2.7% 감소하였다. 대조구(G-C, I-C) 대비 각각 0.9–1.1 mg/L 낮은 값을 보였다. 이는 인의 대부분이 토양입자에 부착된 입자상 인 형태로 존재하며, 퇴비 적용 시 토양 입단 개선으로 입자상 물질의 유실이 감소했기 때문으로 해석된다. 토양의 인산 흡착능 향상 및 인 이동의 제한성을 보고한 연구에서도 유사한 결과가 나타난다(Kim et al., 2001). 다만 장기적으로는 퇴비 내 인 축적에 따른 인산포화도 증가 가능성이 있으며, 이러한 점은 장기 퇴비 시용지에서 인 축적을 보고한 연구에서도 지적된 바 있다(Lee et al., 2020).
총부유물질(TSS)은 강우에 따른 토사유출과 직접적으로 관련된 항목이다. G-E 처리구는 2023년 대비 15.8% 증가하였으나, I-E 처리구는 11.4% 감소하였다. 이는 작물 피복 여부, 경사, 토양 포화도 등 현장의 물리적 특성 차이에 기인한 것으로 판단된다. 친환경퇴비 처리구의 평균 TSS가 대조구보다 낮게 유지된 점은 경사지 농경지에서 토사 및 영양물질 유출 저감효과를 보고한 연구와도 부합한다(Park, 2018).
모든 조사 지점의 pH는 6.0–6.8 범위에서 유지되었다. 친환경퇴비 처리구는 6.5–6.6으로 일반퇴비 지역(6.1–6.2)에 비해 약간 높은 중성화 경향을 보였다. 퇴비의 완숙 과정에서 생성되는 유기산은 초기에는 약한 산성화를 유도하나, 치환성 양이온(Ca²⁺, Mg²⁺, K⁺) 공급을 통해 장기적으로 토양 완충능을 향상시키며 중성화되는 경향이 나타난다. 이러한 pH 중성화 경향은 퇴비 시용에 따른 화학적 토양성 변화 연구에서도 보고된 바 있다(Lee et al., 2020).
3.2. 토양 분석 결과
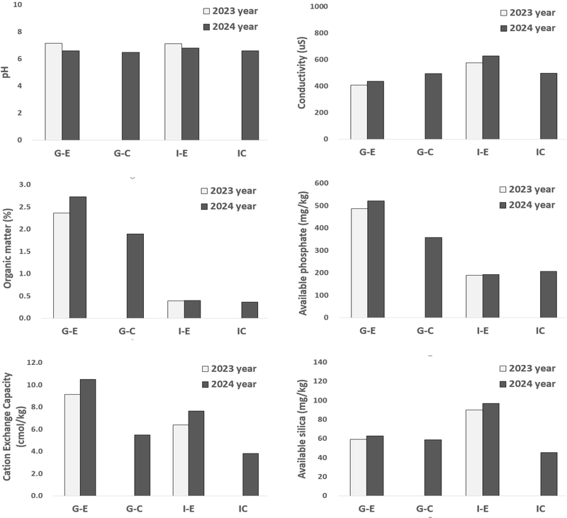
Table 3과 Fig. 3은 송야천 유역의 퇴비 처리 유형별 토양 화학 특성(pH, 전기전도도, 유기물, 유효인산, 양이온교환용량, 유효규산) 변화를 나타낸 것이다. 토양의 pH는 G-E 처리구는 전년도 대비 7.2에서 6.6으로 8.33% 감소하였으며, I-E 처리구는 7.1에서 6.8로 4.22% 감소하였다. G-C와 I-C의 pH는 6.5와 6.6으로서 모두 약산성에서 중성 수준으로 안정적으로 유지되었다. 토양 전기전도도(EC)의 경우 전년도 대비 G-E 처리구는 438 μS/cm, I-E 처리구는 627 μS/cm로 전년 대비 각각 7.09%, 8.85% 증가하였다. 이는 퇴비 내 가용성 염류의 일시적 영향으로 보이며, 겨울철 강우로 인한 용탈 후에는 안정화될 것으로 판단된다. EC 상승폭이 1000 μS/cm 미만으로 유지된 점은 염류집적에 의한 작물장해 위험이 낮음을 의미한다. 비슷한 조건에서의 BMP 적용 농경지에서도 유사한 범위의 변동폭이 보고된 바 있다(Kim et al., 2019).

Changes in soil chemical properties (pH, electrical conductivity, organic matter, available phosphate, cation exchange capacity, and available silica) by compost treatment type in the Songya Stream watershed
Comparison of soil chemical properties (pH, electrical conductivity, organic matter, available phosphate, Cation Exchange Capacity, and available silica) by compost treatment type in the Songya Stream watershed.
유기물 함량은 G-E와 I-E 모든 지역에서 전년도 대비 각각 15.68%, 2.56% 증가하였으며, G-C와 I-C에 비하여 다소 높은 유기물 함량을 보였다. 퇴비 투입으로 미생물 활성 및 토양 입단화가 촉진되어 유기물의 안정적 축적이 이루어진 것으로 해석된다. 유효인산도 G-E와 I-E 모든 지역에서 전년도 대비 각각 7.20%, 1.26% 증가하였는데, 이는 퇴비의 인 성분이 완만히 광물화되어 작물 이용 가능성이 높아진 결과이다. 국내 축산퇴비 관리연구에서도 유효인산은 1–5% 증가 범위 내에서 안정적으로 유지되는 것으로 나타났다(Suh et al., 2010; Lee, et al., 2020).
치환성양이온(CEC)는 G-E와 I-E 모든 지역에서 전년도 대비 각각 14.99%, 19.03% 증가하였으며, G-C와 I-C에 비하여 다소 높은 함량을 보였다. 이는 토양 유기물의 증가에 따른 양이온 흡착부위 확대 때문이다. CEC 증가는 양분 보유력 향상 및 pH 완충능 강화로 이어지며, 결과적으로 비점오염 시 용출되는 용존성 이온의 농도 변화를 완화한다. Kong et al.(2020)은 유기물 1% 증가가 CEC를 4–6 meq/100 g 향상시킨다고 보고하였는데, 본 연구의 증가폭도 이와 유사하다.
유효규산 또한 G-E와 I-E 모든 지역에서 전년도 대비 각각 6.78%, 7.78% 증가하였으며, G-C와 I-C에 비하여 다소 높은 유기물 함량을 보였다. 이는 퇴비 중 규산염 성분의 토양 내 점진적 용출에 의한 것으로, 규산 함량이 높을수록 작물의 내병성 및 내염성이 향상된다는 보고가 있다. 또한 유효규산이 높을수록 인의 흡착부위가 증가해 인 용탈을 억제할 수 있어 수질 개선 측면에서도 긍정적이다.
4. 결 론
친환경퇴비 지역은 BOD, TOC, T-P에서 유의한 감소를 보였으며 특히 유기물 관련 항목(BOD, TOC)은 20% 내외의 저감효율을 보였다. 이는 퇴비의 고숙성화로 인해 용존 유기물질의 용출이 줄고, 토양입단화에 따른 입자상 물질의 유실 감소가 복합적으로 작용한 결과로 해석된다. 질소는 표면유출보다 침투에 의한 기저유출이 지배적이므로, 단기 저감효과는 미미했다. 향후 질소 관리에는 시비시기 조정, 배수로 차단시설, 식생여과대 병행 등이 필요하다. 인은 토양입자에 결합된 형태로 유출되는 비율이 크기 때문에, 퇴비가 토양 구조를 안정화시킬수록 유출량이 감소한다. 다만 퇴비 인의 장기 축적을 방지하기 위해 인 함량을 1% 이하로 유지하는 관리가 바람직하다. 토양의 pH와 EC는 안정적이었으며, 유기물·CEC·유효규산이 증가하여 토양비옥도 및 양분보유력이 향상되었다. 이러한 토양의 물리·화학적 개선은 장기적으로 침식 저감과 수질 안정화에 기여할 것으로 기대된다. 송야천 유역은 경사도가 크고 밭 중심의 토지이용 형태로 비점오염이 강우 의존형으로 나타난다. 따라서 강우사상 중심의 관리, 사상별 부하 계산을 통한 연간 부하량 환산이 필요하다. 향후 친환경퇴비 보급, 배수로 정비 및 식생대 조성이 종합적으로 반영된 통합 BMP 모델을 적용하는 것이 효과적일 것이다.
Acknowledgments
본 결과물은 교육부와 한국연구재단의 재원으로 지원을 받아 수행된 국립안동대학교-경북도립대학교 글로컬대학사업단의 연구결과입니다.
REFERENCES
-
Choi, J., 2008, Nonpoint source pollution management for a multipurpose dam watershed, Water Sci. Technol., 57, 1835–1841.
[https://doi.org/10.2166/wst.2008.271]
- Choi, Y., Lee, S., Kum, D., Han, J., Park, W., Kim, J., Lim, K., 2020, Analysis of the efficiency of non-point source pollution managements considering the land use characteristics of watersheds, J. Korean Soc. Water Environ., 36, 405–422.
-
Delpla, I., Jung, A. V., Baurès, E., Clement, M., Thomas, O., 2011, Impacts of rainfall events on runoff water quality in an agricultural environment in temperate areas, Sci. Total Environ., 409, 1683–1688.
[https://doi.org/10.1016/j.scitotenv.2011.01.033]
- Kang, T. S., Yoo, N. Y., Shin, M. H., Lim, K. J., Park, M. J., Park, B. K., Kim, J. G., 2023, Analysis of nonpoint source pollutant runoff characteristics and pollution contribution in the Songya Stream watershed, J. Korean Soc. Water Environ., 39, 316–328.
- Kim, J., Choi, J., Park, M., Min, J. H., Lee, J. M., Lee, J., Na, E. H., Jang, H., 2022, A Study on identifying priority management areas and implementing best management practice for effective management of nonpoint source pollution in a rural watershed, Korea, Sustainability, 14, 13999.
-
Kim, J. H., Han, K. H., Lee, J. S., 2008, Characteristics of agricultural non-point source pollutants by rainfall events in rural watersheds, J. Korean Soc. Water Qual., 24, 69–77.
[https://doi.org/10.5338/KJEA.2005.24.2.077]
-
Kim, P. J., Chung, D. Y., Malo, D., 2001, Characteristics of phosphorus accumulation in soils under organic and conventional farming in plastic film houses in Korea, Soil Sci. Plant Nutr., 47, 281–289.
[https://doi.org/10.1080/00380768.2001.10408392]
-
Kim, Y. G., Lim, W. S., Hong, C. O., Kim, P. J., 2014, Effect of combined application of bottom ash and compost on heavy metal concentration and enzyme activities in upland soil, Korean J. Environ. Agric., 33, 262–270.
[https://doi.org/10.5338/KJEA.2014.33.4.262]
-
Kim, Y. H., Kong, M. S., Lee, E. J., Lee, T. G., Jung, G. B., 2019, Status and changes in chemical properties of upland soil from 2001 to 2017 in Korea, Korean J. Environ. Agric., 38, 213–218.
[https://doi.org/10.5338/KJEA.2019.38.3.28]
-
Kong, M. J., An, P. G., Jung, J. A., Lee, C. R., Lee, S. M., An, N. H., 2020, The effect of organic materials application on soil chemical properties and yield of corn in organic upland soil, J. Environ. Sci. Int., 29, 1239–1248.
[https://doi.org/10.5322/JESI.2020.29.12.1239]
-
Lee, C. M., Hamm, S. Y., Cheong, J. Y., Kim, K., Yoon, H., Kim, M., Kim, J., 2020, Contribution of nitrate-nitrogen concentration in groundwater to stream water in an agricultural head watershed in Korea, Environ. Res., 184, 109313.
[https://doi.org/10.1016/j.envres.2020.109313]
-
Lee, C. R., Oh, Y., Park, K. L., Cho, J. L., An, N. H., Lee, S. M., 2020, Effects of green manure–maize rotation on phosphorus uptake of crop and decrease in phosphorus accumulation in organic upland soil, Korean J. Soil Sci. Fer., 53, 247–257.
[https://doi.org/10.7745/KJSSF.2020.53.3.247]
- Lee, H. J., Lee, S. J., Lee, S. R., 2005, Estimation of soil water characteristic curve for weathered granite soils considering structural characteristics, Journal of the Korean Society of Civil Engineers C, 25, 249–258.
- Ministry of Environment (MOE), 2023, Comprehensive management plan for nonpoint source pollution, Ministry of Environment, Sejong.
- National Institute of Environmental Research (NIER), 2022, Comprehensive watershed survey report, NIER, Incheon.
- National Institute of Environmental Research (NIER), 2022, Guidelines for designation and management of nonpoint source pollution management areas, NIER, Incheon.
-
Park, M., Choi, Y. S., Shin, H. J., Song, I., Yoon, C. G., Choi, J. D., Yu, S. J., 2019, A Comparison study of runoff characteristics of non-point source pollution from three watersheds in South Korea, Water, 11, 966.
[https://doi.org/10.3390/w11050966]
-
Park, S. I., Park, H. J., Yang, H. I., Kim, H. Y., Yoon, K. S., Choi, W. J., 2018, Pollutant runoff reduction efficiency of surface cover, vegetative filter strip and vegetated ridge for Korean upland fields: A Review, Korean J. Environ. Agric., 37, 151–159.
[https://doi.org/10.5338/KJEA.2018.37.3.21]
-
Reza, A., Eum, J., Jung, S., Choi, Y., Jang, C., Kim, K., Owen, J. S., Kim, B., 2019, Phosphorus budget for a forested–agricultural watershed in Korea, Water, 11, 4.
[https://doi.org/10.3390/w11010004]
-
Reza, A., Eum, J. S., Jung, S. M., Choi, Y. S., Owen, J. S., Kim, B. C., 2016, Export of non-point source suspended sediment, nitrogen, and phosphorus from sloping highland agricultural fields in the East Asian monsoon region, Environ. Monit. Assess., 188, 692.
[https://doi.org/10.1007/s10661-016-5681-9]
-
Rosner, B., Glynn, R. J., Lee, M. L., 2006, The Wilcoxon signed rank test for paired comparisons of clustered data, Biometrics, 62, 185–192.
[https://doi.org/10.1111/j.1541-0420.2005.00389.x]
-
Sarazen, J., Hurley, S., Faulkner, J., 2023, Nitrogen and phosphorus removal in a bioretention cell experiment receiving agricultural runoff from a dairy farm production area during third and fourth years of operation, J. Environ. Qual., 52, 149–160.
[https://doi.org/10.1002/jeq2.20434]
-
Shortle, J. S., Ribaudo, M., Horan, R. D., Blandford, D., 2012, Reforming agricultural nonpoint pollution policy in an increasingly budget-conscious environment, Environ. Sci. Technol., 46, 1316–1325.
[https://doi.org/10.1021/es2020499]
- Suh, J. S., Kwon, J. S., Noh, H. J., 2010, Effect of the long-term application of organic matters on microbial diversity in upland soils, Korean J. Soil Sci. Fert., 43, 987–994.
-
Sun, T., Deng, L., Fei, K., Zhang, L., Fan, X., 2020, Characteristics of phosphorus adsorption and desorption in erosive weathered granite area and effects of soil properties, Environ. Sci. Pollut. Res. Int., 27, 28780–28793.
[https://doi.org/10.1007/s11356-020-08867-1]
- U.S. Environmental Protection Agency (EPA), 1997, Guidance for data quality assessment: Practical methods for data analysis, Chapter 4.
Center for Research Facility, Gyeongkuk National Universitysanso300@hanmail.net
Department of Environmental Engineering, Gyeongkuk National Universityyoungkim@andong.ac.kr
Department of Earth and Environmental Sciences, Gyeongkuk National Universityjjkim@anu.ac.kr
