
수치모의를 이용한 금오산 일대 산곡풍 순환 및 이에 따른 열적 변동 특성 분석
Ⓒ The Korean Environmental Sciences Society. All rights reserved.
This is an Open-Access article distributed under the terms of the Creative Commons Attribution Non-Commercial License (http://creativecommons.org/licenses/by-nc/3.0) which permits unrestricted non-commercial use, distribution, and reproduction in any medium, provided the original work is properly cited.
Abstract
This study investigated the characteristics of mountain–valley winds and the associated temporal variations in the wind field, air temperature, and surface temperature at the Dongyeong Herb Garden, located within the Keimyung Dongyeong Forest on Mt. Geumo in Chilgok-gun, Gyeongsangbuk-do. The study area lies south of Mt. Geumo, where a well-developed valley topography provides favorable conditions for the formation of local circulation winds between the mountain and the Nakdong River. To simulate local circulation over complex terrains, the mesoscale meteorological Weather Research and Forecasting model was applied. The simulations focused on the spring period, during which persistent mountain–valley wind events occurred. The numerical results indicate that daytime solar heating induces anabatic flows (valley winds) directed toward mountain slopes and peaks. In contrast, nighttime radiative cooling generates katabatic flows (mountain winds) descending toward the lowlands. The model successfully reproduced the diurnal transition of the mountain–valley wind system, characterized by pronounced increases in surface and air temperatures following the onset of the valley wind and rapid cooling after the development of the mountain wind. Based on numerical simulations, the impacts of mountain–valley winds on thermal variations at the Dongyeong Herb Garden were quantitatively evaluated.
Keywords:
Mountain-valley winds, Local circulation wind, Anabatic flow, Katabatic flow1. 서 론
금오산의 남쪽 자락에 해당하는 경상북도 칠곡군 숭오리에 계명대학교 동영학술림이 위치하고, 학술림의 일부로 학교에서 운영하는 약초원이 있다. 약초원 부근은 대규모의 계곡이 발달하여 낙동강 칠곡보 방향을 향하고 있다. 이로 인해 금오산과 낙동강 사이에서 형성되는 국지순환풍이 잘 발달할 수 있는 지형적 조건을 갖추고 있다. 또한 약초원과 낙동강 칠곡보 근처엔 10년 이상에 걸쳐서 자동기상관측장비를 이용한 관측이 이뤄지고 있다. 이 지역을 대상으로 수치모의 실험을 수행하여 산곡풍 순환 형성을 확인하고, 산곡풍 순환에 따른 약초원 부근의 열적 변화 특성을 정량적으로 분석하였다.
우리나라는 산림의 비율이 높고 지형적 기복이 큰 복잡 지형이 광범위하게 분포하고 있어 지표 부근에서 나타나는 바람의 흐름은 지형의 영향을 크게 받는다. 이러한 지역에서의 국지적 바람 특성을 파악하기 위해서는 조밀한 관측망이 필요하나, 관측망 설치와 운영에는 비용 및 인력, 지형적 제약으로 인한 현실적인 한계가 존재한다(Seo et al., 2010). 이에 따라 고해상도 수치모델을 사용한 국지기상 연구가 효과적인 대안으로 제시되고 있다.
본 연구에 적용한 수치모델은 National Center for Atmospheric Research (NCAR)가 개발한 Weather Research and Forecasting (WRF) 모델이며 기상 현상 수치모의를 위해 설계되었다(Skamarock et al., 2021). WRF 모델에서는 난류를 고려한 Large Eddy Simulation (LES) 방안의 적용이 가능하다. WRF-LES 방안을 적용할 경우 지면 부근의 난류를 직접 계산이 가능해 국지적 특성을 가진 복잡 지형에서 발생하는 대기순환 수치모의에 유용하게 활용할 수 있다(Catalano and Moeng, 2010; Talbot et al., 2012; Kang et al., 2015; Seo et al., 2015; Liu et al., 2020).
수치모델의 모의 성능은 토지피복 및 지형 자료의 정확도에 크게 의존하며, 대상지의 실제 환경을 반영한 정확도 향상의 핵심 요소로 지적되어 왔다(Ha and Lee, 2011; Lee et al., 2014). 특히 산지와 같은 지형이 복잡한 지역에서는 고해상도의 입력 자료가 요구된다. 그러나 WRF 모델에서 기본적으로 입력되는 자료는 약 1 km 해상도로, 우리나라의 실제 지형 특성과 최근의 토지피복 변화를 충분하게 반영하지 못하는 한계가 존재한다(Kang et al., 2009).
선행 연구에서는 고해상도 입력 자료의 적용과 WRF-LES 방안의 사용이 국지순환 모의 성능 향상에 기여함을 지속적으로 보고해 왔다. Seo et al.(2015)는 강원도를 대상으로 해상도 1 km (PBL)와 333 m (WRF-LES) 조건에서의 하층 풍속을 평가한 결과, 복잡한 산악지역에서 풍속 예측의 정확도는 수평 해상도 1 km 보다 333 m 조건에서 향상되었다고 밝혔다. Liu et al.(2020)는 Shuttle Radar Topography Mission (SRTM) 자료를 WRF-LES 모델의 지형 자료로 적용할 경우, 표면 바람의 변동성과 난류 특성 재현이 유의미하게 개선된다고 보고하였다. Oh et al.(2020)는 수도권 지역을 대상으로 민감도 실험을 진행한 결과, 토지피복 자료가 국지 기상장의 모의 결과에 큰 영향을 미친다는 것을 확인하였다. Singh et al.(2021)은 히말라야 지역을 대상으로 WRF 모델에 SRTM 자료를 사용하여 수치모의를 수행한 결과, 고해상도 지형 자료의 적용이 국지 바람장의 모의 성능 향상에 기여한다고 밝혔다. Kim et al.(2023)은 관측 자료를 활용한 WRF-LES 모의 성능 평가를 통해, 복잡 지형에서의 국지순환을 분석하는 데에 LES 방안을 유용하게 활용할 수 있다고 밝혔다. Rohanizadegan et al.(2023)은 캐나다 로키산맥의 복잡 지형에서 WRF-LES 방안을 사용하여 수치모의한 결과 정확한 지형 표현이 바람장 예측에 매우 중요한 역할을 한다는 점을 제시하며 지형 및 토지피복 자료의 개선과 고해상도 수치모의의 결합은 기상 예보 및 산지의 경계층 과정 예측 성능 향상에 기여한다고 하였다.
본 연구에서는 중규모 기상모델 WRF에 수치 실험 대상 지역의 지형 고도 및 토지피복 특성을 반영하여 수치 모의를 수행하여, 금오산과 낙동강 사이에서 형성되는 국지순환풍이 약초원 부근의 열적 변화에 미치는 영향을 정량적으로 파악해 보고자 한다.
2. 재료 및 방법
2.1. 수치모델 및 대상일
본 연구에서는 동영학술림이 위치한 금오산 일대에서 나타나는 국지순환풍 모의를 위해 WRF (version 4.2) 모델을 사용하였다. WRF 모델은 비정역학적 대기의 지배 방정식을 따르며 Arakawa-C 격자 체계를 기반으로 한다(Skamarock et al., 2021). WRF 모델에서 기본적으로 제공되는 토지피복 및 지형 자료는 우리나라의 복잡한 지형과 토지피복 분포 특성을 반영하는 데에 한계가 있다. 따라서 본 연구에서는 기후에너지환경부의 중분류 토지피복지도와 National Aeronautics and Space Administration (NASA)의 SRTM 자료(약 30 m 해상도)를 활용하여 WRF 모델의 초기 입력 자료로 적용하였다. 또한 기상청에서 Unified Model (UM)을 기반으로 생산된 지역예보모델 RDAPS (Regional Data Assimilation and Prediction System) 자료를 사용하여 모델의 초기장과 경계장으로 반영하였다. 관측 자료를 바탕으로 산곡풍이 연속적으로 발생한 사례를 선정하였으며, 2018년 4월 17일~2018년 4월 21일을 수치모의 대상 기간으로 선정하였다.
2.2. 수치모의 영역 및 물리과정 모수화 방안
수치모의 영역은 연구 대상지인 동영학술림을 중심으로 4중 둥지격자(nested grid) 체계로 구성하였다(Fig. 1). 각 도메인의 수평 격자 간격은 약 3 km, 1 km, 333 m, 111 m이다. 최하위 고해상도 영역(d04)은 금오산에 위치한 동영학술림과 그 인접 지역을 포함하도록 설정하였다.
Nested domains for the WRF simulation over the Korean Peninsula and the study area. The right panel shows the terrain height of the innermost domain (d04).
본 연구에서 사용한 물리 모수화 방안을 Table 1에 제시하였다. 미세물리 모수화 방안으로 WRF Double-oment 6-class scheme (WDM6; Lim and Hong, 2010)을 적용하였다. 복사 모수화 방안으로 장파 및 단파 복사 모두에 Rapid Radiative Transfer Model for GCMs (RRTMG; Iacono et al., 2008)를 사용하였다. 모델로는 Noah (Chen and Dudhia, 2001)를 적용하였다. 행성경계층 모수화 방안으로는 d01~d02 영역에 YSU 방안(Hong et al., 2006)을 적용하였으며, 수평 해상도가 1 km 미만인 d03~d04 영역에는 LES 기반의 1.5-order Turbulent Kinetic Energy (TKE) closure (Lilly, 1966; Deardorff, 1980)를 사용하였다.
모의기간 동안의 기상 요소에 대한 검증 결과를 살펴보면, 2 m 기온의 MAE는 동영과 칠곡에서 각각 1.29℃, 1.77℃로 나타났으며, MBE는 동영 -0.11℃, 칠곡 0.10℃로 나타났다. RMSE 값은 동영 1.57℃, 칠곡 2.13℃의 값을 보였다. 10 m 풍향의 MAE는 동영, 칠곡에서 각각 75.24°, 55.92°로 나타났으며, MBE는 동영 20.54°, 칠곡 0.03°의 값을 보였다. 10 m 풍속의 MBE 값은 칠곡에서 1.06 m s-1로 양의 편차를 보였고, RMSE 값은 1.80 m s-1로 나타났다. 일부 요소에서 관측값과의 차이가 있으나, 전반적으로 기상 요소의 변화 경향을 적절하게 재현하고 있음을 나타낸다.
3. 결과 및 고찰
3.1. 바람장 수치모의
Fig. 2에 모의 기간 중 2018년 4월 18일의 바람장 수치모의 결과를 3시간 간격으로 제시하였다. 6시에는 산 정상부에서 저지대로 하강하는 흐름이 나타났으며 칠곡 지점에서는 북풍 및 북동풍 계열의 흐름이 우세하였다.
Numerical simulation of 10 m local winds in Chilgok (CG) and Dongyeong (DY) at 3 h intervals from 06 to 21 LST on 18 April 2018.
일출 이후 일사에 의한 가열로 7시를 기점으로 풍향의 변화가 나타나 동영 지점에서 곡풍의 형태를 보였다. 9시에는 도메인 북쪽에 위치한 구미국가산업단지 방향에서 동영 지점이 위치한 북서쪽의 금오산 방향으로 계곡을 따라 산 정상부로 상승하는 남풍~남동풍의 풍향을 보였다. 칠곡 지점에서는 북풍 계열의 바람이 우세하게 나타났으며 남쪽으로 빠져나가는 흐름이 형성되었다. 12시에도 동영 지점에서 곡풍이 지속적으로 나타났으며 인근 산지에서도 경사면을 따라 상승하는 기류가 확인되었다. 경사면을 타고 상승한 기류는 금오산 정상 부근에서 수렴되는 형태를 보였다. 15시에는 경사면을 따라 상승하는 바람이 산의 능선 부근에서 수렴되는 양상이 나타났으며, 12시에 비해 저지대에서 산지 경사면을 따라 상승하는 흐름은 다소 약화되었다.
17시 이후에는 산 정상으로부터 저지대로 하강하는 북서풍 계열의 산풍이 형성되기 시작하였다. 18시의 바람장을 살펴보면, 산 정상에서 산사면을 따라 하강하는 산풍의 풍향이 뚜렷하게 나타났다. 경사면을 따라 하강한 바람이 내륙 습지를 따라 저지대로 유출되는 흐름이 확인되었다. 도메인 전반에서 북서풍 및 서풍 계열의 바람이 우세하게 나타났고 산지 계곡과 주변 지형을 따라 비교적 일관된 바람장을 보였다. 21시에도 지형을 따라 하강하는 하강류가 지속되었으며 주변의 산지로부터 내려온 기류가 저지대 부근으로 모여드는 형태가 나타났다. 수치모의를 통해 주·야간에 곡풍과 산풍이 교대로 나타나는 것을 확인할 수 있었다.
Fig. 3에 2018년 4월 18일 동영 지점의 관측값과 모의값의 일변화를 나타내었다. 관측값에서는 0시에서 6시까지 북서풍 계열의 산풍에 해당하는 풍향이 나타났다. 8시부터는 남동풍 계열의 곡풍이 나타나기 시작하였으며, 15시까지 곡풍의 풍계가 지속되었다. 이후 17시부터 본격적으로 북서풍 계열의 풍향이 뚜렷하게 나타나 산풍이 지속적으로 나타남을 확인할 수 있었다. 모의값에서도 관측값과 유사한 일변화 양상을 보였다. 일부 시간대에서 관측값과 수치모의 값 간 차이가 있었으나, 산풍과 곡풍의 발생 및 풍향 변화 양상이 유사하게 나타나 모델이 금오산 일대에서 형성되는 국지순환풍인 산곡풍의 주·야간 풍계 전환 특성을 적절하게 재현하고 있다고 판단된다.
이러한 결과는 광릉 계곡을 대상으로 국지순환을 모의한 Lee et al.(2014)의 연구에서 보고된 바와 같이, 주·야간에 산지 경사면을 따라 형성되는 상승류와 하강류가 교대하며 나타나는 일주기적 국지순환 구조와 유사한 경향을 보였다.
3.2. 기온의 시간 변화 양상
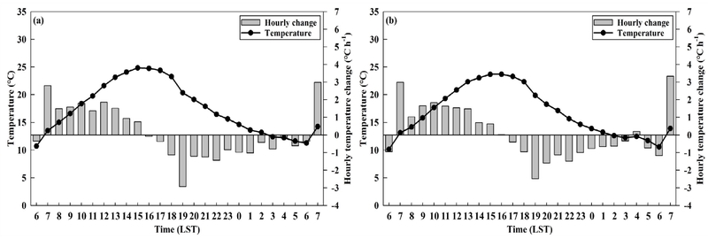
산곡풍에 따른 기온 상승 및 하강 특성을 분석하기 위하여 Fig. 4, 5에 동영 지점과 저지대에 위치한 칠곡 지점의 기온과 시간당 기온 변화량의 시간 변화를 모의값과 관측값으로 나누어 제시하였다. 두 지점 모두 6시에 최저기온이 나타난 이후 곡풍이 형성되기 시작한 7시 이후부터 기온 상승이 뚜렷하게 나타났다. 7~10시에 모의값에서는 동영 1.0~3.0℃ h-1, 칠곡 1.5~2.8℃ h-1의 가열률을 보였다. 같은 시간대의 관측값에서도 가열률이 두드러지게 나타나 동영 2.2~2.5℃ h-1, 칠곡 2.0~4.1℃ h-1의 기온 상승률을 보였다.
Temporal variation of simulated air temperature and hourly air temperature change at (a) Chilgok and (b) Dongyeong.
Temporal variation of observed air temperature and hourly air temperature change at (a) Chilgok and (b) Dongyeong.
산풍이 형성되기 시작한 17시 이후에는 관측값과 모의값 모두에서 기온이 하강하였으며 냉각률은 모의값에서 18~22시에 크게 나타났다. 두 지점에서의 냉각률은 동영과 칠곡에서 -2.5~-1.0℃ h-1, -2.9~-1.1℃ h-1로 나타났다. 관측값은 동영이 17~19시에 -2.9~-2.0℃ h-1, 칠곡이 18~20시에 –3.0~-1.7℃ h-1로 냉각률이 크게 나타났다.
수치모의 결과, 기온 상승 구간에서 일사에 의한 지표 가열과 함께 계곡 방향으로의 풍향 변화가 나타나 곡풍이 형성되었다. 곡풍이 출현한 이후 기온 상승률이 증가하였으며, 이러한 변화는 관측값과 모의값에서 동일한 양상을 보였다. 반면 17시 이후에는 산 정상 부근에서 복사냉각된 공기가 계곡 경사면을 따라 저지대로 하강함에 따라 산풍이 발달하였고 냉각 구간이 뚜렷하게 나타났다. 관측값에서도 모의 결과와 유사한 시간대에서 가열률과 냉각률이 두드러지게 나타났다. 이러한 결과는 모델이 산곡풍에 의해 형성되는 열적 순환 과정을 합리적으로 재현하고 있음을 보여준다. 또한 본 연구에서 나타난 기온 변화는 산곡풍에 의한 영향과 함께 태양복사에 의한 지표 가열과 야간 복사 냉각이 복합적으로 작용한 결과로 해석된다.
3.3. 지표면 온도의 일변화
산곡풍은 주간의 일사에 의한 지표면의 가열과 야간의 복사냉각에 의해 산지에서 형성되는 국지순환풍이다. 이러한 산곡풍의 순환은 지표면 에너지 수지에 의해 형성되는 가열 및 냉각 과정과 밀접하게 연관된다. 연구 대상지인 동영 지점이 위치한 금오산은 계곡 지형이 발달되어 있는 산지로 지형에 의해 유도되는 산곡풍 순환이 빈번하게 나타날 수 있는 지역이다. 이에 본 연구에서는 수치모의 결과를 이용하여 지표면 온도의 변화와 산곡풍 발생 및 전환 시점의 관계를 분석하였다.
모의 기간 동안 동영 및 칠곡 지점의 지표면 온도 시간별 변화를 Fig. 6에 제시하였다. 두 지점에서 6시에 최젓값을 보인 이후 태양복사에 의한 지표 가열이 시작되면서 지표면 온도가 상승하는 경향을 보였다. 특히 산풍에서 곡풍으로의 전환이 나타나는 7시 이후 지표면 온도의 가열률이 크게 증가하여 10시까지 두드러지게 나타났다. 이 시간대에서의 가열률은 동영 3.8~7.0℃ h-1, 칠곡 4.3~5.4℃ h-1로 나타났다. 지표면 온도 냉각률은 산풍이 형성되기 시작한 이후 크게 증가하여 동영 -4.7~-3.2℃ h-1(17~19시), 칠곡 –4.6~-3.0℃ h-1 (16~19시)의 값을 보였다.
Temporal variation of simulated surface temperature and hourly surface temperature change at (a) Chilgok and (b) Dongyeong.
이와 같이 지표면 온도의 가열 및 냉각률이 크게 나타난 시점은 곡풍과 산풍의 전환 시점과 대체로 일치하는 특성을 보였다. 이러한 특성은 앞서 제시한 기온의 시간별 변화 양상과도 유사하게 나타났으며, 태양복사에 의한 지표면 가열과 야간 복사냉각에 따른 지표면 에너지 수지 변화와 계곡 지형을 따라 형성되는 국지 순환이 복합적으로 작용한 결과로 판단된다. 국지순환풍 형성에 유리한 조건을 가진 사례일에서 대구 앞산 달비골을 대상으로 산곡풍의 발달과 지표면 및 대기 간 열교환 과정을 평가한 Koo et al.(2007)의 연구에서도 주간에 약 2~7℃ h-1의 지표면 가열률이 나타났으며, 야간에는 약 –4~-2℃ h-1의 냉각률이 나타난 것으로 보고된 바 있다. 이러한 값은 본 연구의 수치모의 결과와 유사한 범위에 해당하며, 본 연구에서 나타난 지표면 온도 변화율이 산지 지역의 열적 순환 과정에서 나타날 수 있는 수준임을 보여준다. Zardi and Whiteman(2013)은 산곡풍을 주간의 가열과 야간의 복사 냉각에 의해 형성되는 열적 구동 바람(thermally driven winds)으로 정의하고, 경사면과 인접한 경계층에서 형성되는 수평 온도 차이가 압력 차이를 유발하여 경사면을 따르는 흐름을 형성한다고 하였다. 본 연구에서도 금오산 일대에서 지표면 온도의 가열률이 증가하는 시점에 곡풍이 형성되고, 냉각률이 증가하는 시간대에 산풍으로의 전환이 나타나는 유사한 양상이 나타났다. 이러한 결과는 금오산 일대에서 형성되는 국지 순환이 지형에 의해 유도되는 전형적인 산곡풍 순환 구조와 일관된 특성을 보임을 의미한다. 산곡풍의 출현 시간대에 나타난 뚜렷한 가열 및 냉각 특성은 금오산 일대에서 형성되는 주·야간 지표면 에너지 변화와 산곡풍 순환이 밀접하게 연관되어 있음을 나타낸다.
4. 결 론
본 연구에서는 경상북도 칠곡군 금오산 일대에 위치한 동영학술림과 인근 저지대를 대상으로 WRF 모델을 사용한 수치모의를 수행하여, 산지와 낙동강 사이에서 국지순환풍이 발달하는 사실을 확인할 수 있었다. 산곡풍의 발생에 따른 바람장, 기온 및 지표면 온도의 시간적 변화 특성을 정량적으로 정리하면 다음과 같았다.
첫째, 주간에 일사량이 증가하여 지표가 가열되면 저지대로부터 곡풍이 형성되어 계곡을 따라 산 정상부로 향하는 상승 흐름이 나타나고 일사가 약해져 복사냉각이 활발해지는 저녁 시간대에 산 정상부에서부터 저지대로 하강 및 유출되어 나가는 산풍의 형성을 확인할 수 있었다. 7시 이후 남동풍 계열의 곡풍이 형성되었으며 17시 이후 북서풍 계열의 산풍이 형성되어 뚜렷하게 나타났다.
둘째, 산곡풍 발생에 따른 기온의 시간 변화를 분석한 결과, 곡풍이 형성된 이후 2~3시간 동안 두 지점 모두에서 가열률이 두드러지게 나타났으며, 산풍 형성 이후에는 기온 하강과 함께 냉각률이 크게 나타남을 확인할 수 있었다. 동영과 칠곡 지점 모두 곡풍이 형성되기 시작한 7시 이후 가열률이 높게 나타나 10시까지 동영 1.0~3.0℃ h-1, 칠곡 1.5~2.8℃ h-1의 기온 상승을 보였다. 산풍이 형성되기 시작한 17시 이후부터 두 지점에서의 냉각률이 점차 크게 나타나는 것을 확인할 수 있었다. 두 지점에서 18~22시에 냉각이 두드러지게 나타났으며 19시에 동영 –2.5℃ h-1, 칠곡 –2.9℃ h-1로 최댓값을 보였다. 이러한 가열 및 냉각 구간은 산곡풍의 전환 시점과 밀접한 연관성을 보였으며, 같은 기간 관측값과 유사한 일변화 특성을 확인할 수 있었다.
셋째, 지표면 온도의 시간 변화에서도 기온과 유사한 특성이 나타났다. 곡풍이 출현하는 시점에 지표면 온도가 뚜렷하게 상승하였으며, 7~10시의 가열률은 동영 3.8~7.0℃ h-1, 칠곡 4.3~5.4℃ h-1로 나타났다. 이러한 결과는 태양복사에 의한 지표 가열과 곡풍의 유입 효과가 복합적으로 작용한 결과로 해석된다. 반면 산풍이 형성되는 시점에는 지표면 온도의 하강이 두드러지게 나타났으며, 두 지점 모두 19시에 동영 –4.7℃ h-1, 칠곡 –4.6℃ h-1로 최대 냉각률 값을 보였다.
이상의 결과를 통해 본 연구의 수치모의가 산곡풍에 의해 형성되는 열적 순환 과정을 전반적으로 타당하게 재현한 것으로 판단된다. 복잡 지형에서 형성되는 국지순환풍이 해당 지역의 바람과 열적 환경에 미치는 영향을 파악하는 것은 토지의 효율적 활용을 위한 기초 자료로써 활용 가치가 높다. 본 연구에서 확인된 결과는 향후 계명대학교 동영학술림과 동영학술림 내에 조성된 약초원의 효과적이고 과학적인 관리 및 활용 방안을 마련하는 데에도 기초 자료로 활용될 수 있을 것으로 기대한다. 본 연구는 금오산 일대의 특정 기간을 대상으로 수행된 사례 기반 분석으로, 산곡풍 미발생 사례와의 비교 분석이 이루어지지 않았다는 점에서 다양한 기상 조건 및 지형에서 나타나는 일반적인 특성을 제시하기에는 한계가 있다. 따라서 향후 다양한 기상 조건과 장기간 관측 자료를 활용한 추가 연구를 통해 산곡풍 발생 여부에 따른 산지 복잡 지형의 국지 순환과 열적 환경 특성을 보다 종합적으로 규명할 필요가 있을 것으로 판단된다.
Acknowledgments
본 논문은 2026년도 계명대학교의 박사학위논문의 일부입니다.
REFERENCES
-
Catalano, F., Moeng, C. H., 2010, Large-eddy simulation of the daytime boundary layer in an idealized valley using the Weather Research and Forecasting numerical model, Bound.-Layer Meteorol., 137(1), 49-75.
[https://doi.org/10.1007/s10546-010-9518-8]
-
Chen, F., Dudhia, J., 2001, Coupling an advanced land surface-hydrology model with the Penn State–NCAR MM5 modeling system. Part I: Model implementation and sensitivity, Mon. Weather Rev., 129(4), 569-585.
[https://doi.org/10.1175/1520-0493(2001)129<0569:CAALSH>2.0.CO;2]
-
Deardorff, J. W., 1980, Stratocumulus-capped mixed layers derived from a three-dimensional model, Bound.-Layer Meteorol., 18(4), 495-527.
[https://doi.org/10.1007/BF00119502]
- Ha, W. S., Lee, J. G., 2011, WRF sensitivity experiments on the choice of land cover data for an event of sea breeze over the Yeongdong region, Atmosphere, 21(4), 373-389.
-
Hong, S. Y., Noh, Y., Dudhia, J., 2006, A New vertical diffusion package with an explicit treatment of entrainment processes, Mon. Weather Rev., 134(9), 2318-2341.
[https://doi.org/10.1175/MWR3199.1]
-
Iacono, M. J., Delamere, J. S., Mlawer, E. J., Shephard, M. W., Clough, S. A., Collins, W. D., 2008, Radiative forcing by long-lived greenhouse gases: Calculations with the AER radiative transfer models, J. Geophys. Res. Atmos., 113, D13103.
[https://doi.org/10.1029/2008JD009944]
- Kang, J. H., Suh, M. S., Kwak, C. H., 2009, Classification of land cover over the Korean Peninsula using MODIS data, Atmosphere, 19(2), 169-182.
-
Kang, M., Lim, Y. K., Cho, C., Kim, K. R., Park, J. S., Kim, B. J., 2015, The sensitivity analyses of initial condition and data assimilation for a fog event using the mesoscale meteorological model, J. Korean Earth Sci. Soc., 36(6), 567-579.
[https://doi.org/10.5467/JKESS.2015.36.6.567]
-
Kim, E., Choi, K., Park, S., Kim, M. H., Kim, S. W., Park, M. S., Ahn, M. H., Park, Y. S., Song, C. K., 2023, Turbulent characteristics in complex coastal areas assessed using BSWO observations and WRF-LES simulation results, Atmos. Res., 289, 106756.
[https://doi.org/10.1016/j.atmosres.2023.106756]
-
Koo, H. S., Kwon, B. H., Kim, H. D., 2007, Observational study on the local wind of the Dalbi-Valley located at Ap-Mountain in Daegu, J. Environ. Sci. Int., 16(1), 73-79.
[https://doi.org/10.5322/JES.2007.16.1.073]
-
Lee, S. J., Kim, J., Kang, M., Malla-Thakuri, B., 2014, Numerical simulation of local atmospheric circulations in the valley of Gwangneung KoFlux sites, KJAFM, 16(3), 246-260.
[https://doi.org/10.5532/KJAFM.2014.16.3.246]
- Lilly, D. K., 1966, On the application of the eddy viscosity concept in the inertial sub-range of turbulence, Technical Report 123, National Center for Atmospheric Research, Boulder, Colorado, USA.
-
Lim, K. S. S., Hong, S. Y., 2010, Development of an effective double-moment cloud microphysics scheme with prognostic cloud condensation nuclei (CCN) for weather and climate models, Mon. Weather Rev., 138(5), 1587-1612.
[https://doi.org/10.1175/2009MWR2968.1]
-
Liu, Y., Liu, Y., Muñoz-Esparza, D., Hu, F., Yan, C., Miao, S., 2020, Simulation of flow fields in complex terrain with WRF-LES: Sensitivity assessment of different PBL treatments, J. Appl. Meteorol. Climatol., 59(9), 1481-1501.
[https://doi.org/10.1175/JAMC-D-19-0304.1]
- Oh, J. S., Lee, J. H., Woo, J. W., Lee, D. I., Lee, S. H., Seo, J., Moon, N., 2020, Performance evaluation of the high-resolution WRF meteorological simulation over the Seoul metropolitan area, Atmosphere, 30(3), 257-276.
-
Rohanizadegan, M., Petrone, R. M., Pomeroy, J. W., Kosovic, B., Muñoz‐Esparza, D., Helgason, W. D., 2023, High-resolution large-eddy simulations of flow in the complex terrain of the Canadian Rockies, Earth Space Sci., 10(10), e2023EA003166.
[https://doi.org/10.1029/2023EA003166]
- Seo, B. K., Byon, J. Y., Choi, Y. J., 2010, Sensitivity evaluation of wind fields in surface layer by WRF-PBL and LSM parameterizations, Atmosphere, 20(3), 319-332.
-
Seo, B. K., Byon, J. Y., Lim, Y. J., Choi, B. C., 2015, Evaluation of surface wind forecast over the Gangwon province using the mesoscale WRF model, J. Korean Earth Sci. Soc., 36(2), 158-170.
[https://doi.org/10.5467/JKESS.2015.36.2.158]
-
Singh, J., Singh, N., Ojha, N., Sharma, A., Pozzer, A., Kiran Kumar, N., Rajeev, K., Gunthe, S. S., Kotamarthi, V. R., 2021, Effects of spatial resolution on WRF v3.8.1 simulated meteorology over the central Himalaya, Geosci. Model Dev., 14(3), 1427-1443.
[https://doi.org/10.5194/gmd-14-1427-2021]
- Skamarock, W. C., Klemp, J. B., Dudhia, J., Gill, D. O., Liu, Z., Berner, J., Wang, W., Powers, J. G., Duda, M. G., Barker, D. M., Huang, X. Y., 2021, A Description of the advanced research WRF model version 4.3, NCAR Technical Note (NCAR/TN-556+STR), National Center for Atmospheric Research, Boulder, Colorado, USA.
-
Talbot, C., Bou-Zeid, E., Smith, J., 2012, Nested mesoscale large-eddy simulations with WRF: Performance in real test cases, J. Hydrometeorol., 13(5), 1421-1441.
[https://doi.org/10.1175/JHM-D-11-048.1]
-
Zardi, D., Whiteman, C. D., 2013, Diurnal mountain wind systems, in: Chow, F. K., De Wekker, S. F. J., Snyder, B. J. (eds.), Mountain weather research and forecasting: Recent progress and current challenges, Springer, Dordrecht, 35-119.
[https://doi.org/10.1007/978-94-007-4098-3_2]
Department of Environmental Engineering, College of Engineering, Keimyung Universitykhd@kmu.ac.kr
Department of Environmental Science, Keimyung Universityhyk2410@naver.com

