Journal of Environmental Science International
[ ORIGINAL ARTICLE ]
Journal of Environmental Science International - Vol. 35, No. 3, pp.191-204
ISSN: 1225-4517 (Print) 2287-3503 (Online)
Print publication date 31 Mar 2026
Received 05 Feb 2026 Revised 24 Feb 2026 Accepted 03 Mar 2026
DOI: https://doi.org/10.5322/JESI.2026.35.3.191

금오산 남측 계명대학교 동영학술림에서의 산곡풍에 따른 기상 요소 변화

김하영 ; 김해동1), *
계명대학교 환경과학과
1)계명대학교 공과대학 환경공학과
Impact of Mountain-Valley Winds on Meteorological Elements in Keimyung Dongyeong Forest, Southern Mt. Geumo
Ha-Young Kim ; Hae-Dong Kim1), *
Department of Environmental Science, Keimyung University, Daegu 42601, Korea
1)Department of Environmental Engineering, College of Engineering, Keimyung University, Daegu 42601, Korea

Correspondence to: *Hae-Dong Kim, Department of Environmental Engineering, College of Engineering, Keimyung University, Daegu 42601, Korea Phone:+82-53-580-5930 E-mail: khd@kmu.ac.kr

Ⓒ The Korean Environmental Sciences Society. All rights reserved.
This is an Open-Access article distributed under the terms of the Creative Commons Attribution Non-Commercial License (http://creativecommons.org/licenses/by-nc/3.0) which permits unrestricted non-commercial use, distribution, and reproduction in any medium, provided the original work is properly cited.

Abstract

This study analyzed the occurrence patterns of mountain‑valley winds and associated temporal variations in meteorological elements. Meteorological data collected over a 9‑year period (2014–2022) at Mt. Geumo in Chilgok-gun, Gyeongsangbuk-do were used to examine the occurrence of mountain‑valley winds and the changes in temperature and relative humidity during their appearance and disappearance. Mountain‑valley winds occurred on 614 days during the observation period, with the highest frequency observed in spring and the lowest in summer. The appearance/disappearance of mountain‑valley winds was strongly influenced by sunrise. The heating and cooling rates of air temperature and the hourly rate of change in relative humidity were consistently greater on mountain‑valley wind occurrence days than on non‑occurrence days, with particularly pronounced differences in spring. These results demonstrate that mountain‑valley winds play an important role in modulating the local thermal and moisture conditions. This study quantitatively characterized the generation of mountain‑valley winds in complex terrain and the resulting temporal changes in meteorological variables based on long-term observational data. These findings provide a useful basis for future analyses of local circulation winds and their related environmental impacts.

Keywords:

Mountain‑valley winds, Local circulation, Seasonal variability

1. 서 론

금오산 남쪽 산지에 계명대학교 동영학술림이 조성되어 있으며, 자동기상관측장비를 2013년 6월에 설치하여 연속 관측을 수행해 오고 있다. 관측을 수행하고 있는 부지에는 칠곡보 방향으로 발달한 거대한 계곡이 존재한다. 따라서 종관 규모의 바람이 약하고 구름이 적은 쾌청한 기상 조건에서 산곡풍의 생성이 빈번하게 관찰된다. 산곡풍은 산 정상과 계곡 간 차등 가열에 따른 수평 기압 경도력으로 인해 발생하는 하루 동안의 국지순환풍으로 정의되며, 주간에 계곡에서 산 정상을 향해 부는 상승류를 곡풍, 야간에 산 정상에서 계곡을 향해 부는 하강류를 산풍으로 구분한다(Zardi and Whiteman, 2013). 산지 지표면의 야간 복사냉각으로 생성되는 찬 공기는 저온 다습한 성질을 갖기에 풍하 측 지역의 기온을 낮추고 습도를 높이는 방식으로 기상 요소에 영향을 미친다. 도시 부근의 산지에서는 청정한 공기의 산풍이 저지대에 위치한 도시의 대기질을 개선하는 역할도 한다(Eum et al., 2018). 주간에 낙동강에서 산지로 유입되는 곡풍은 산지로 수증기를 공급하고, 이동 과정에서 지표 가열을 받은 고온의 공기는 산지의 온도를 높인다(Lee and Kim, 2010). 따라서 대상 지역에서 생성되는 국지순환풍의 발생 빈도와 지속시간 등 국지순환풍의 특성 및 영향을 파악하는 것은 지역의 대기질 개선 및 기후 특성의 이해와 효율적 토지 활용 전략 수립에 중요한 기초 자료로 활용될 수 있다(Kim et al., 2023).

국내외에서 국지순환풍의 발생 특성 및 영향에 관한 다양한 연구가 수행되고 있다. Lee et al.(2018)는 광릉 지역의 침엽수림과 활엽수림, 인근 포천 지역을 대상으로 분석한 결과, 산림 지형이 여름철 기온 저감과 찬 공기 생성에 기여함을 제시하였다. 야간에 산림에서 생성된 찬 공기의 이동은 주변 지역의 기온을 낮추며, 식생의 규모가 크고 산의 고도가 높을수록 냉각 효과가 더 뚜렷하게 나타남을 확인하였다. Potter et al.(2018)는 히말라야 계곡을 대상으로 Weather Research and Forecasting (WRF) 모델을 이용하여 여름철과 겨울철 국지순환 특성을 분석하였고 지형 외에도 다양한 역학적 과정이 국지순환에 복합적으로 영향을 미친다고 하였다. Lehner et al.(2019)는 맑고 안정한 기상 조건이 산악 지역의 열적 사면풍과 곡풍 순환을 형성하는 핵심 요인이라고 보고하였으며 오스트리아의 인 계곡을 대상으로 ERA-Interim 재분석 자료와 하향 장파 복사, 기온 및 습도 자료를 사용하여 Clear-sky index (CSI)를 활용한 기상 조건 식별 방법을 제시하였다. Hwang et al.(2020)은 관측 자료를 기반으로 해풍 발생 기준을 설정하고 보성 지역의 해풍일을 분류하였으며, 해풍일에는 일교차가 크게 나타나며 특히 야간 기온 역전 현상이 뚜렷하게 형성된다는 사실을 확인하였다. Yu et al.(2021)는 중국 항저우를 대상으로 한 연구에서 가을과 초겨울에 국지순환풍의 발생 빈도가 높게 나타나며 지형 및 지표면 조건이 풍속과 발생 시간에 영향을 미친다는 것을 밝혔다.

우리나라는 복잡한 지형적 특성으로 인해 국지 규모의 기상 요소에 산곡풍이 미치는 영향이 클 것으로 예상됨에도 불구하고, 이에 관련된 연구는 상대적으로 부족하다. 수행된 연구들도 대부분 수일 정도의 단기간을 대상으로 한 사례 분석이나 수치모델을 사용한 연구에 집중되어 있으며, 본 연구처럼 장기간의 관측 자료를 분석한 연구는 부족한 실정이다.

본 연구에서는 산지 계곡부(계명대학교 동영학술림)와 저지대(기상청의 AWS)에서 관측한 자료를 활용하여 동영학술림이 위치한 경상북도 칠곡군 일대에서 형성되는 산곡풍의 계절별 발생 특성과 산곡풍 발생 유무에 따른 기상 요소의 변화를 비교·분석하여 산곡풍이 기상 요소에 미치는 영향을 분석하였다. 이러한 결과는 동영학술림의 기상 조건을 고려한 과학적 운영에 활용될 수 있을 것으로 기대한다.


2. 재료 및 방법

2.1. 연구 대상지

본 연구에서는 경상북도 칠곡군 계명대학교 동영학술림에 설치된 자동기상관측장비로 수집한 자료와 기상청의 종관기상관측(Automated Synoptic Observing System, ASOS) 및 방재기상관측(Automatic Weather System, AWS) 자료를 활용하였다. 동영 지점의 기온과 상대습도는 지상 2 m 높이, 풍향, 풍속은 지상 4 m 높이에서 관측하였다. 구미 지점은 대상지인 동영 지점과 가장 인접한 종관기상관측소로, 방재기상관측소(칠곡)에서 제공되는 기온, 상대습도 외에도 일조시간 등 추가적인 기상 요소를 제공하므로 산곡풍 발생일 판단을 위한 자료로 활용하였다. 연구에 사용한 자료는 9년간(2014∼2022년) 관측한 기상 자료이며 결측값을 제외하고 분석하였다. 비교 자료로 기상청에서 운용하고 있는 칠곡 지점의 관측 자료를 사용하였다(Fig. 1).

Fig. 1.

Locations of meteorological data observation sites.

동영학술림(동영 지점)은 금오산 산지 내에, 칠곡 지점은 낙동강 인근의 저지대에 위치한다. 연구 대상지는 북서-남동 방향으로 발달한 계곡 지형으로 인해 국지순환풍이 빈번하게 형성될 수 있는 지형적 조건을 갖추고 있다. 칠곡 지점의 해발고도는 29.79 m로 동영(약 180 m) 보다 상대적으로 저지대에 위치하고 있다. 또한 두 지점에서는 연구 기간 동안 연속적인 기상 관측 자료가 축적되어 있어 금오산 산지에서 발생하는 국지순환풍(산곡풍)의 특성과 발생에 따른 기상 요소 변화를 분석하기에 적합하다.

2.2. 산곡풍 선정 방법

산곡풍은 경사진 산악 지형에서 맑은 날 일사에 따른 지표면 가열 차이로 발생하는 일주기적 국지순환이다. 산곡풍의 발생 여부를 판단하기 위해 국지순환풍의 발생이 유리한 기상 조건을 만족하는 대상일을 선별하고, 이를 바탕으로 산곡풍 발생일을 선정하였다. 먼저 구미 지점의 관측 자료를 이용하여 강수 발생 여부, 일조율, 일평균풍속을 기준으로 국지순환풍 형성이 용이한 날을 분류하였다. 이후 선정된 대상일 중 동영 지점의 풍향 자료를 활용하여 산곡풍 발생일을 최종 선정하였다.

본 연구에서 적용한 산곡풍 발생일 및 미발생일의 선정 기준은 다음과 같다(Fig. 2). 첫째, 종관장의 영향을 최소화하고 맑은 기상 조건이 나타난 날을 선정하기 위하여 강수가 발생하지 않은 날만을 대상으로 하였다. 둘째, 국지순환풍의 발생에 유리한 맑은 날을 선별하기 위하여 일조율 70% 이상인 날을 기준으로 설정하였다. 일조율은 0∼30%를 흐림, 30∼70%를 구름 많음, 70% 이상을 맑음으로 구분할 수 있다(WMO, 2023). 셋째, 종관규모의 일반풍이 약한 날을 선정하기 위하여 보퍼트 풍력계급 2단계(남실바람)에 해당하는 3.3 m s-1를 기준으로 일평균풍속이 3.3 m s-1 이하인 날을 선정하였다.

Fig. 2.

Flow chart to select mountain-valley winds occurrence day and non-occurrence day.

산곡풍의 세부 발생 여부는 동영 지점의 풍향 자료를 바탕으로 주·야간의 곡풍과 산풍을 구분하여 판단하였다. 곡풍과 산풍의 풍향 범위는 동영 지점의 주·야간의 주풍향 특성을 고려하여 90∼200°를 곡풍, 270∼20°를 산풍의 풍향 범위로 정의하였다. 풍향의 일시적 변화에 따른 오분류를 방지하기 위해 해당 풍향으로 3시간 이상 지속된 경우만을 곡풍 또는 산풍으로 선정하였다. 또한 가열 및 냉각을 고려하여 곡풍은 7시부터, 산풍은 15시부터 발생 여부를 판단하였다. 이는 주간 태양복사에너지로 인한 지표 가열로 산곡풍이 형성되며, 일사에 따른 차등 가열 효과가 일출 직후가 아닌 일정 시간 경과 후 나타난다는 특성을 고려한 것이다. 또한 산풍의 경우 동영 지점에서 냉각이 나타난 시점을 고려하여 정의하였다. 선정 기준을 모두 만족한 날에 대하여 산곡풍 발생일로 선정하였다.

미발생일의 경우 산곡풍의 영향을 배제하기 위하여 앞서 선정된 발생일과 발생일 이튿날을 제외하였고 구미 지점의 자료를 기준으로 산곡풍 발생에 유리한 기상 조건을 만족하지 않는 날로 정의하였다. 또한 동영 지점에서 주·야간에 풍향 조건을 충족하지 않는 경우 산곡풍의 미발생일로 분류하였다.


3. 결과 및 고찰

3.1. 산곡풍의 발생일수 및 미발생일수

지난 9년간 산곡풍 발생일수, 미발생일수, 동영과 칠곡에서 나타난 월평균 일교차를 Fig. 3에 제시하였다. 산곡풍 발생일수는 총 614일(연평균 68일)로, 봄 213일, 여름 115일, 가을 163일, 겨울 123일 발생하였다. 계절별 발생 빈도는 봄에 34.7%로 가장 높았고 여름에 18.7%로 가장 낮았다. 이는 봄철에 상대적으로 맑은 날이 많고 일조율이 높게 나타나 국지순환풍 발생에 유리한 조건이 형성되는 반면, 여름철에는 장마에 따른 강수일수가 증가하기 때문으로 판단된다(KMA, 2025). 월별로는 6∼9월에 발생 빈도가 7% 미만으로 낮게 나타났으며 4월(12.5%)과 5월(11.4%)에 높은 발생 빈도를 보였다. 이러한 결과는 7∼9월에 흐린 날이 많아 산곡풍 발생에 불리한 조건이 형성된 영향 및 최근 9월 중순의 강수가 크게 증가하고 있는 경향이 반영된 결과로 볼 수 있다(KMA, 2022).

Fig. 3.

The number of mountain-valley winds days and monthly mean of daily temperature range at Chilgok and Dongyeong for (a) Occurrence day and (b) Non-occurrence day.

선정 기준을 통해 산정한 9년간의 미발생일수는 총 74일(연평균 8일)이며 봄 9일, 여름 29일, 가을 26일, 겨울 10일로 나타났다. 발생일수에 비해 미발생일수가 상대적으로 적은 이유로, 산곡풍의 영향을 배제하기 위하여 산곡풍의 발생일 및 발생일 이튿날을 제외하였으며 동영에서 곡풍과 산풍의 풍향 조건이 모두 나타나지 않은 경우만을 미발생일로 선정하였기 때문으로 판단된다. 계절별 미발생 빈도는 여름(39.2%)에 가장 높고 봄(12.2%)에 가장 낮았다. 월별로는 2월과 5월에 각각 2일로 가장 적고 7∼9월에 많게 나타났다. 여름과 가을의 미발생일수의 차는 3일로 크지 않았는데, 이는 흐린 날 및 강수의 영향으로 미발생일수가 많았던 9월의 영향으로 판단된다.

발생일에서 동영과 칠곡의 일교차는 봄철에 동영 15.3∼16.3℃, 칠곡 18.0∼18.3℃의 범위로 크게 나타났다. 대체로 발생일수가 많을수록 일교차가 증가하는 경향을 보였으며 칠곡에서의 일교차가 동영에 비해 상대적으로 큰 것을 확인할 수 있다. 미발생일에서의 일교차는 7월에 가장 작게 나타나 동영 3.4℃, 칠곡 3.6℃로 두 지점에서의 일교차가 유사한 값을 보였다. 2월에 두 지점 모두에서 일교차가 크게 나타났는데 이는 미발생일 선정 기준에 따라 선정된 2021년 2월 4일과 26일의 경우 강수 조건이었음에도 구미 지점 관측 자료 기준 일조율이 각각 80%, 67%로 다른 미발생일 대비 상대적으로 높게 나타난 것과 관련된 것으로 해석된다.

3.2. 산곡풍의 출현 및 소멸

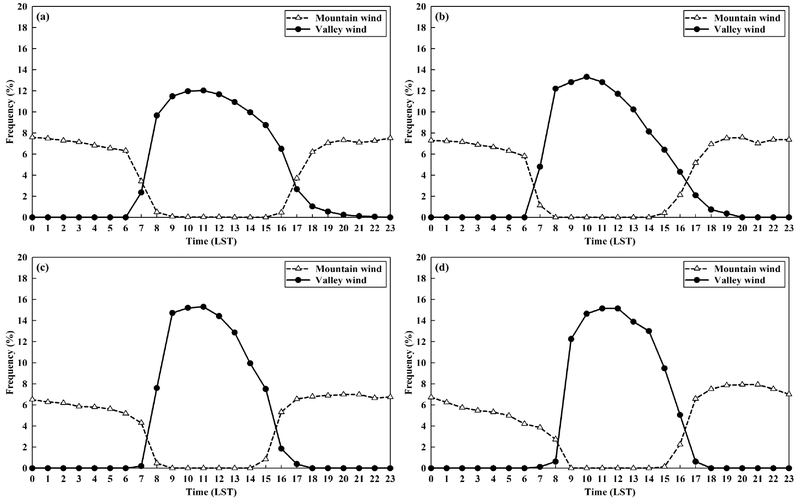
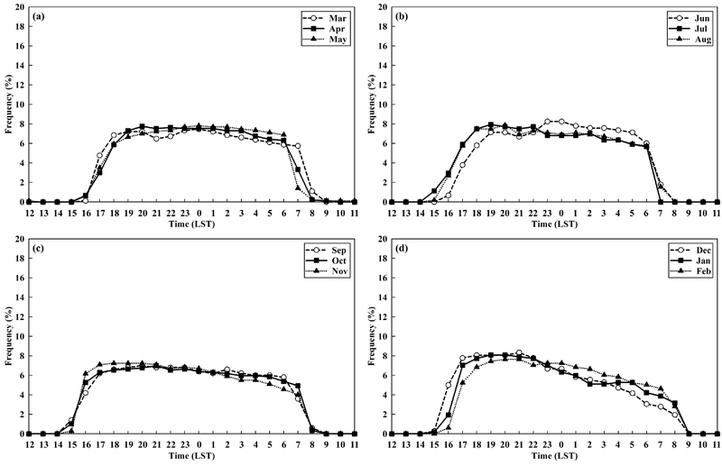
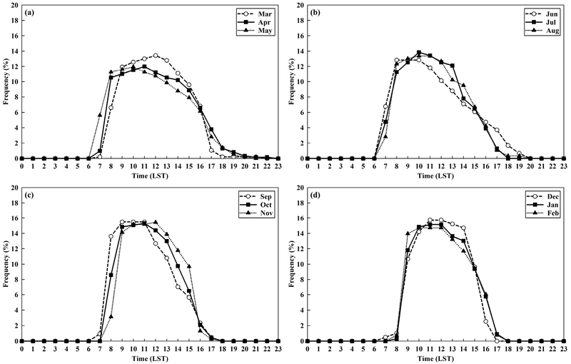
월별(Fig. 4, 5), 계절별(Fig. 6)로 시간대별 곡풍과 산풍의 출현 빈도를 제시하였다. 월별로 곡풍과 산풍의 출현 빈도를 살펴보면, 봄철에는 07시 이후 곡풍이 출현하였고 17시 이후 빈도가 감소하였다. 여름에는 07시부터 곡풍이 발생한 이후 출현 빈도가 크게 증가하였으며 17시 이후 빈도가 작게 나타났다. 가을에는 08시부터 곡풍이 나타나 12시 이후 빈도가 점차 감소하여 16시 이후 소멸하였고 겨울에는 09시부터 곡풍이 출현하여 16시까지 빈도가 크게 나타나는 것을 확인할 수 있었다.

Fig. 4.

Monthly variation time of the valley wind for (a) Spring, (b) Summer, (c) Fall and (d) Winter.

Fig. 5.

Monthly variation time of the mountain wind for (a) Spring, (b) Summer, (c) Fall and (d) Winter.

Fig. 6.

Seasonal variation time of the mountain-valley winds for (a) Spring, (b) Summer, (c) Fall and (d) Winter.

월별 산풍의 출현 빈도를 보면 봄철에는 17시부터 나타나 다음날 07시 이후 소멸하였다. 여름철에는 16시 이후 빈도가 증가하여 이튿날 06시 이후 점차 낮아짐을 확인할 수 있었다. 가을에는 16시부터 산풍이 출현하여 다음 날 07시 이후 소멸하였다. 겨울에는 16시 전·후로 산풍이 시작되어 다음 날 08시 이후 소멸하는 양상을 보였다.

계절별로 곡풍과 산풍이 우세한 시간대를 살펴보면, 봄에는 08∼16시에 곡풍이 우세하게 나타났고, 산풍은 17∼07시에 우세하였다. 07시와 17시에서 곡풍과 산풍이 나타난 빈도의 차는 약 1%로 유사하였다. 여름은 07∼16시까지 곡풍이 우세하였으며 17∼06시에는 산풍이 우세하게 유지되는 경향을 보였다. 가을은 08∼15시까지 곡풍의 빈도가 산풍의 빈도보다 높았고 16∼07시에는 산풍이 우세하게 나타났다. 겨울은 09∼16시에 곡풍이 우세한 경향을 보였으며, 17시부터 08시까지 산풍이 우세하게 나타났다.

곡풍과 산풍의 출현 및 소멸 시각은 동일 계절 내에서도 월별 일출 시각에 따라 변동하는 경향을 보였다. 일출 시각이 빠를수록 곡풍의 출현 시각이 앞당겨져 하루 중 곡풍이 나타나는 시간대가 길어지는 경향이 확인되었다. 일출 시각이 이른 여름에는 곡풍의 출현 시각이 07시로 가장 빠르게 나타났고 상대적으로 일출 시각이 늦은 겨울에는 곡풍이 08∼09시로 늦게 출현하였다. 이러한 결과는 일조시간이 상대적으로 긴 여름철에 해풍의 발생 시각이 앞당겨진다는 Jung and Kim(2025)의 해륙풍 연구와 유사한 계절적 특성을 보인다. 이는 지표 가열에 의해 구동되는 열적 순환이라는 측면에서 본 연구에서 나타난 산곡풍 발생 특성 역시 복사 조건 차이에 따른 계절적 경향이 나타났다.

지난 9년간 산지에 위치한 동영 지점에서 나타난 산풍과 곡풍의 월별 평균 지속시간을 Fig. 7에 제시하였다. 곡풍의 평균 지속시간은 5월에 6시간 43분으로 가장 길게 나타났으며, 9월에 5시간 5분으로 가장 짧았다. 계절별로는 봄(6시간 23분), 여름(5시간 49분), 겨울(5시간 20분), 가을(5시간 15분) 순으로 곡풍의 지속시간이 길게 나타났다. 일조율이 높아 일사에 의한 지표면 가열이 상대적으로 활발한 봄에 지속시간이 길었다. 산풍의 평균 지속시간은 9월에 11시간 12분으로 가장 길었고, 6월에 8시간 10분으로 가장 짧았다. 계절별로는 가을(9시간 36분), 봄(9시간 22분), 여름(9시간), 겨울(8시간 27분) 순으로 지속시간이 길게 나타났다.

Fig. 7.

Monthly mean of duration of the mountain-valley winds.

지난 9년간 나타난 곡풍과 산풍의 평균 지속시간은 곡풍 5시간 46분, 산풍 9시간 10분으로, 산풍의 지속시간이 곡풍보다 3시간 이상 더 길게 나타났다. 또한 산곡풍 발생에 유리한 기상 조건이 빈번하게 나타나 발생일수가 많았던 봄에 곡풍과 산풍 모두 상대적으로 지속시간이 길게 나타나는 결과를 보였다.

3.3. 산곡풍의 영향

산곡풍의 발생이 산지에 위치한 동영과 저지대에 위치한 칠곡의 기온의 변화 특성에 미치는 영향을 평가하기 위해 최근 9년간(2014∼2022)의 자료를 발생일과 미발생일로 구분하여 하루 중 시간대별 기온 변화 특성(가열률 및 냉각률)의 분포를 분석하였다. 가열률과 냉각률은 각 지점에서 해당 시각 기온과 1시간 전 기온의 차로 산출하였다(Kim et al., 2016).

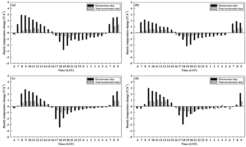
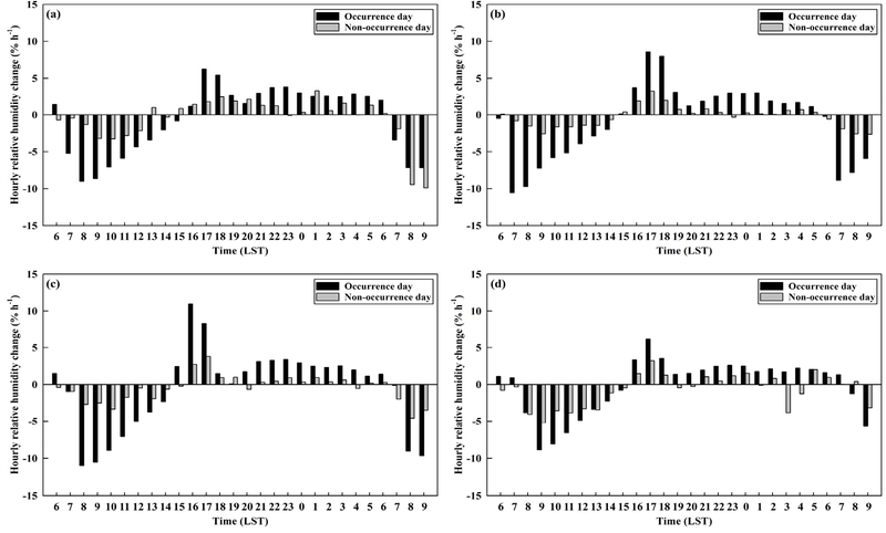
동영(Fig. 8)에서 곡풍의 영향을 받은 오전 시간대에서 뚜렷한 가열 구간을 확인할 수 있었다. 봄에는 08∼10시에 가열률이 두드러져 발생일과 미발생일 간 가열률 차는 8시에 2.1℃ h-1로 최대로 나타났고 발생일에서 2.2∼2.5℃ h-1, 미발생일에서 0.3∼0.6℃ h-1의 값을 보였다. 여름에는 07∼09시에 기온 상승이 크게 나타나 발생일 1.8∼2.5℃ h-1, 미발생일 0.4∼0.5℃ h-1의 값을 보였다. 가열률의 차(발생일-미발생일)는 7시에 2.1℃ h-1로 가장 크게 나타났다. 가을에는 08∼10시에 가열률이 두드러져 08∼09시에 가열률의 차가 약 1.8℃ h-1로 큰 값을 보였다. 발생일 2.3∼2.6℃ h-1, 미발생일 0.7∼0.9℃ h-1의 값이 나타났다. 겨울에는 09∼11시에 가열률이 크게 나타나 발생일 1.9∼2.5℃ h-1, 미발생일에서 0.7∼0.9℃ h-1의 값을 보였고 발생일과 미발생일 간 차는 9시에 1.6℃ h-1로 최대로 나타났다.

Fig. 8.

Temporal variation of hourly air temperature change during mountain-valley winds occurrence day and non-occurrence day at Dongyeong for (a) Spring, (b) Summer, (c) Fall and (d) Winter.

오후 시간대에는 산풍의 영향으로 인해 냉각이 뚜렷하게 나타났다. 봄에는 17∼19시에 냉각률이 크게 나타나 발생일 –2.2∼-1.4℃ h-1, 미발생일 –0.7∼-0.4℃ h-1의 값을 보였다. 17시에 발생일과 미발생일 간 냉각률의 차가 –1.8℃ h-1로 크게 나타났다. 여름에도 17∼19시에 냉각이 두드러져 발생일에서 –2.3∼-1.3℃ h-1, 미발생일에서 –0.6∼-0.5℃ h-1의 값을 보였다. 냉각률의 차(발생일-미발생일)는 17시에 -1.7℃ h-1로 최댓값을 보였다. 가을에는 16∼18시에 냉각이 두드러져 냉각률의 차는 16시에 –2.0℃ h-1로 가장 컸고 발생일 –2.6∼-1.2℃ h-1, 미발생일 –0.9∼-0.6℃ h-1로 나타났다. 겨울에는 16∼18시에 냉각률이 크게 나타나 발생일 –2.0∼-1.1℃ h-1, 미발생일 –0.9∼-0.5℃ h-1의 값을 보였다. 17시에 –1.1℃ h-1로 냉각률 차가 최댓값을 보였다.

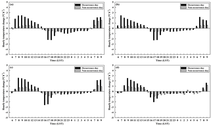
칠곡(Fig. 9)에서도 일출 이후 태양복사에너지에 의한 지표 가열과 곡풍의 영향이 복합적으로 작용하면서 가열 경향이 뚜렷하게 나타났다. 봄에는 08∼11시에 가열률이 크게 나타나 발생일과 미발생일에서 각각 2.2∼3.0℃ h-1, 0.3∼0.7℃ h-1의 값을 보였다. 8시에 발생일과 미발생일 간 가열률의 차가 2.7℃ h-1로 최댓값이 나타났다. 여름에 기온 상승률은 07∼10시에 두드러지게 나타나 발생일과 미발생일 간 가열률 차는 8시에 1.9℃ h-1로 가장 컸고 발생일 1.7∼2.2℃ h-1, 미발생일 0.2∼0.5℃ h-1의 값을 보였다. 가을에는 08∼11시에 가열이 두드러져 발생일 2.1∼2.8℃ h-1, 미발생일 0.6∼0.8℃ h-1의 값을 보였다. 발생일과 미발생일 간 가열률의 차는 9시에 2.0℃ h-1로 최댓값을 보였다. 겨울에는 09∼12시에 가열 구간이 뚜렷하였고 발생일 1.9∼3.0℃ h-1, 미발생일 0.7∼1.0℃ h-1의 값을 보였다. 가열률의 차는 9시에 2.2℃ h-1로 가장 크게 나타났다.

Fig. 9.

Temporal variation of hourly air temperature change during mountain-valley winds occurrence day and non-occurrence day at Chilgok for (a) Spring, (b) Summer, (c) Fall and (d) Winter.

산풍의 영향에 따른 냉각 구간은 봄에 18∼20시에서 크게 나타났다. 발생일 –2.8∼-1.5℃ h-1, 미발생일 –0.8∼-0.4℃ h-1로 나타났다. 발생일과 미발생일 간 냉각률의 차는 19시에 –2.3℃ h-1로 최댓값을 보였다. 여름에는 18∼20시에 발생일 –2.2∼-1.1℃ h-1, 미발생일 –0.6∼-0.4℃ h-1로 발생일과 미발생일간 차가 가장 큰 시각은 19시에 -1.7℃ h-1로 최대로 나타났다. 가을에 냉각률은 17∼20시 사이에서 두드러져 18시에 -2.4℃ h-1로 냉각률의 차가 가장 크게 나타났고 발생일과 미발생일에서 각각 –3.4∼-1.3℃ h-1, –1.0∼-0.6℃ h-1의 값을 보였다. 겨울에는 17∼20시에 냉각률이 뚜렷하여 냉각률의 차는 18시에 -2.1℃ h-1로 가장 크게 나타나 발생일 –2.9∼-1.3℃ h-1, 미발생일 –1.2∼-0.6℃ h-1의 값을 보였다.

동영과 칠곡 모두 발생일에는 오전 시간대에 가열률이 뚜렷하게 상승하고 오후 시간대에 냉각률이 크게 증가하는 일변화 양상을 확인할 수 있었다. 반면 미발생일에서는 상대적으로 가열률과 냉각률이 전반적으로 작게 나타났는데, 이는 흐린 날의 영향으로 일출 이후 일사에 의한 가열이 상대적으로 약화되었기 때문으로 판단된다. 가열과 냉각이 시작되는 시각은 발생일과 미발생일 간 대체로 동일하거나 1시간 차이를 보였으나 값은 전반적으로 발생일에서 더 크게 나타났다. 이러한 결과는 일출 이후 지표면 가열이 활발한 조건에서 고온의 공기 특성을 지닌 곡풍이 유입되어 복합적으로 나타난 결과로 해석된다. 또한 산풍이 우세한 이후 발생일과 미발생일 간 차가 크게 나타났는데, 이는 금오산 정상부에서 생성된 저온의 공기가 계곡을 따라 저지대로 확산되는 것과 관련된 것으로 보인다. Yu et al.(2025)가 산풍 시작 시점에서 냉각이 두드러지며 특히 17∼19시에 2.5℃ h-1 이상의 냉각 효과가 나타나 약 9시간 동안 지속된다고 보고한 바와 같이, 본 연구에서도 산풍의 출현을 기점으로 발생일에서의 냉각률이 크게 증가하기 시작하여 유사한 경향이 확인되었다.

동영과 칠곡에서 나타난 산곡풍의 영향을 파악하기 위하여 산곡풍 발생일과 미발생일로 구분하여 곡풍과 산풍의 영향이 두드러진 시간대에서의 계절별 가열률 및 냉각률을 비교·분석하였다. 산풍과 곡풍의 영향을 보다 정확하게 평가하기 위하여 Fig. 6에 제시된 계절별 산풍과 곡풍이 우세하게 나타난 시간대를 기준으로 전·후 1시간을 제외한 구간에 대하여 분석하였다.

곡풍의 영향을 받은 시간대에서의 평균 가열률(Table 1)은 발생일 동영에서 가을(1.6℃ h-1), 봄(1.5℃ h-1), 겨울(1.3℃ h-1), 여름(1.1℃ h-1) 순으로 나타났으며 칠곡에서 가을(1.9℃ h-1), 봄(1.8℃ h-1), 겨울(1.7℃ h-1), 여름(1.3℃ h-1)의 순으로 유사한 계절적 분포를 보였다. 두 지점 모두 봄, 가을에 가열률이 크게 나타난 반면, 여름에 상대적으로 작게 나타나 계절적 차이를 확인할 수 있었다. 미발생일은 동영에서 가을과 겨울에 0.5℃ h-1, 봄, 여름에 0.3℃ h-1의 값을 보였고 칠곡에서는 가을과 겨울에 0.6℃ h-1, 여름 0.4℃ h-1, 봄 0.3℃ h-1로 발생일에 비해 전반적으로 작게 나타났다. 발생일과 미발생일 간 가열률 차는 동영에서 봄에 1.2℃ h-1로 가장 크고 가을, 여름, 겨울 순의 값을 보였다. 칠곡에서는 봄에 1.5℃ h-1로 차가 가장 크고 가을, 겨울, 여름의 순으로 나타났다. 발생일의 계절별 평균 가열률은 칠곡에서 동영보다 높았으나 미발생일에서는 두 지점 간 차이가 크지 않았다. 차(발생일-미발생일) 또한 칠곡에서 동영보다 크게 나타났다.

Seasonal mean of hourly heating rate and difference (℃ h-1) at Chilgok and Dongyeong during valley wind appearance time

산풍 영향 시간대에서의 평균 냉각률을 Table 2에 제시하였다. 발생일은 동영에서 봄에 -0.8℃ h-1로 가장 크고 여름, 가을, 겨울 순으로 큰 값을 보였다. 칠곡에서도 봄에 –1.1℃ h-1로 가장 크고 여름, 가을, 겨울의 순으로 나타났다. 미발생일은 동영에서 겨울에 –0.4℃ h-1로 가장 크고 봄, 가을, 여름 순의 값을 보였으며 칠곡에서 가을과 겨울에 –0.4℃ h-1로 크고 봄, 여름 순으로 계절 간 차이가 상대적으로 작았다. 발생일과 미발생일 간 차는 동영에서 봄, 여름에 -0.5℃ h-1로 크게 나타났고 칠곡에서는 봄에 –0.8℃ h-1로 큰 차이를 보였다.

Seasonal mean of hourly cooling rate and difference (℃ h-1) at Chilgok and Dongyeong during mountain wind appearance time

두 지점 모두에서 봄에 발생일과 미발생일 간 가열률 및 냉각률 차이가 크게 나타났다. 이는 봄에 발생일수가 213일로 가장 많았고 맑고 청명한 날이 빈번하게 나타나 산곡풍이 발생에 유리한 조건이 형성됨에 따라 곡풍에 의한 기온 가열과 산풍에 의한 기온 냉각 효과가 크게 나타나는 결과로 해석된다.

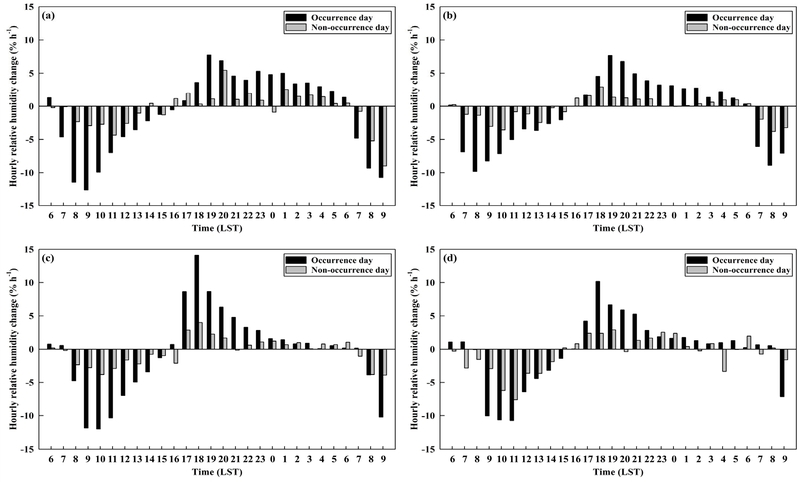
동영과 칠곡에서 국지순환풍의 발생 여부에 따른 상대습도 변화율을 Fig. 10, 11에 제시하였다. 곡풍의 영향을 받는 주간 시간대에 동영에서 나타난 상대습도 변화율은 미발생일에 비해 발생일에서 감소가 두드러졌다. 봄에는 08∼10시에 발생일 –9.0∼-7.1% h-1, 미발생일 –3.3∼-1.3% h-1로 나타났으며 발생일과 미발생일 간 차(발생일-미발생일)는 8시에 -7.7% h-1로 최댓값을 보였다. 여름에는 07∼09시에 발생일 –10.6∼-7.2% h-1, 미발생일 –2.6∼-0.8% h-1로 큰 변화율을 보이며 7시에 약 -9.8% h-1로 차가 가장 크게 나타났다. 가을에는 08∼11시에 상대습도의 감소가 두드러져 발생일과 미발생일 간 차는 8시에 -8.3% h-1로 크게 나타났으며 발생일 –11.0∼-7.1% h-1, 미발생일 –3.4∼-1.8% h-1의 값을 보였다. 겨울에는 09∼11시에 발생일과 미발생일에서 각각 –8.9∼-6.6% h-1, –5.2∼-3.6% h-1로 상대습도의 변화가 크게 나타났고 10시에 -4.5% h-1로 발생일과 미발생일 간 큰 차이를 보였다.

Fig. 10.

Temporal variation of hourly relative humidity change during mountain-valley winds occurrence day and non-occurrence day at Dongyeong for (a) Spring, (b) Summer, (c) Fall and (d) Winter.

Fig. 11.

Temporal variation of hourly relative humidity change during mountain-valley winds occurrence day and non-occurrence day at Chilgok for (a) Spring, (b) Summer, (c) Fall and (d) Winter.

산풍이 출현한 오후 시간대에서 상대습도의 변화율을 살펴보면, 봄에는 17∼19시에 발생일 2.7∼6.2% h-1, 미발생일 1.8∼2.5% h-1로 발생일과 미발생일 간 차는 17시에 4.4% h-1로 크게 나타났다. 여름에는 16∼19시에 상대습도의 증가가 두드러져 18시에 6.0% h-1로 발생일과 미발생일 간 차가 최댓값을 보였고 발생일 3.1∼8.6% h-1, 미발생일 0.7∼3.3% h-1로 나타났다. 가을에는 16∼17시에 발생일 8.2∼11.0% h-1, 미발생일 2.7∼3.8% h-1로 나타나 발생일과 미발생일 간 차는 산풍이 시작되는 16시에 8.3% h-1로 최댓값을 보였다. 겨울에는 16∼18시에 상대습도의 상승이 뚜렷하였고 발생일 3.3∼6.1% h-1, 미발생일 1.3∼3.2% h-1의 값을 보여 차(발생일-미발생일)는 17시에 2.9% h-1로 크게 나타났다.

곡풍이 출현한 오전 시간대에 칠곡에서의 상대습도 변화율을 살펴보면 봄에는 08∼11시에 상대습도의 감소가 크며 발생일 -12.6∼-7.0% h-1, 미발생일 -4.4∼-2.3% h-1로 발생일과 미발생일 간 차는 9시에 -9.7% h-1로 가장 크게 나타났다. 여름에는 07∼10시에 발생일과 미발생일에서 각각 -9.8∼-6.9% h-1, -3.6∼-1.2% h-1로 차(발생일-미발생일)는 8시에 -8.4% h-1로 최댓값을 보였다. 가을에는 09∼11시에 상대습도의 감소가 크게 나타나 발생일 -12.0∼-10.3% h-1, 미발생일 -3.8∼-2.8% h-1의 값을 보였다. 발생일과 미발생일 간 차는 9시에 -9.1% h-1로 가장 크게 나타났다. 겨울에는 09∼12시에 발생일 -10.7∼-6.5% h-1, 미발생일 -7.6∼-2.9% h-1로 뚜렷한 감소 경향을 보이며 9시에 -7.2% h-1로 발생일과 미발생일 간 차가 가장 컸다.

산풍이 출현한 오후 시간대에는 상대습도가 상승하는 경향을 보였다. 봄에 발생일과 미발생일에서 19∼21시에 각각 4.6∼7.8% h-1, 1.0∼5.4% h-1의 값을 보였고 발생일과 미발생일 간 차는 19시에 6.7% h-1로 크게 나타났다. 여름에는 18∼20시에 상승률이 크게 나타나 차(발생일-미발생일)는 19시에 6.3% h-1로 가장 컸고 발생일 4.5∼7.7% h-1, 미발생일 1.3∼2.9% h-1의 값을 보였다. 가을에는 17∼20시에 발생일 6.3∼14.1% h-1, 미발생일 1.7∼4.0% h-1로 상대습도의 상승률이 두드러졌다. 발생일과 미발생일 간 상승률의 차는 18시에 10.1% h-1로 최댓값을 보였다. 겨울에 발생일 5.3∼10.2% h-1, 미발생일 -0.4∼2.9% h-1로 18∼21시에 상대습도의 증가가 뚜렷했다. 발생일과 미발생일 간 차는 18시에 7.8% h-1로 최댓값을 보였다.

동영과 칠곡에서 미발생일에 비해 발생일에서 상대습도의 변화가 더 뚜렷하게 나타났다. 상대습도 변화율이 큰 시간대는 앞선 기온의 가열 및 냉각률이 크게 나타난 시간대와 유사하였으며 발생일과 미발생일 간 차는 산곡풍의 전환 시점에 큰 값을 보였다. 이는 곡풍 발생 시 하층 공기의 건조화와 산풍 발생 시 상대적으로 습윤한 공기의 하강 및 이동뿐만 아니라, 발생일과 미발생일의 기상 조건 차이가 상대습도 변화에 복합적으로 작용한 결과로 해석된다.


4. 결 론

본 연구에서는 9년간(2014∼2022) 산지에 위치한 동영과 저지대에 위치한 칠곡의 관측 자료를 사용하여 금오산 일대에서 형성되는 산곡풍의 발생 특성과 산곡풍 발생에 따른 기온(가열·냉각률) 및 상대습도의 시간 변화를 분석하였다. 그 결과 다음과 같은 사실을 확인할 수 있었다.

첫째, 분석 기간(9년) 동안 산곡풍의 발생일수는 총 614일로, 연평균 68일 발생하였다. 발생 빈도는 봄에 가장 높고 여름에 가장 낮았다. 이는 봄철의 높은 일조율과 맑은 기상 조건이 국지순환풍 형성에 유리하게 작용하였기 때문으로 판단된다. 여름철은 장마로 인해 다른 계절에 비하여 상대적으로 운량이 많아 산곡풍 발생에 불리한 조건이 형성되었다.

둘째, 산곡풍의 출현과 소멸의 시작은 일출 시각에 큰 영향을 받는 것으로 확인되었으며, 계절별로 곡풍과 산풍의 출현과 소멸 시각에 뚜렷한 차이가 확인되었다. 또한 평균 지속시간은 곡풍보다 산풍이 더 길게 나타났는데, 곡풍은 약 6시간, 산풍은 약 9시간 지속되어 산풍의 지속시간이 약 3시간 이상 더 길었다.

셋째, 산곡풍의 출현 시점 이후로 기온 및 상대습도의 변화가 뚜렷하게 나타나 산곡풍 발생이 지역의 열 및 수분 환경 변화에 큰 영향을 미치고 있음을 확인할 수 있었다. 가열률과 냉각률, 상대습도의 시간당 변화율은 모두 산곡풍 발생일에서 미발생일보다 더 크게 나타났다. 특히 봄철에 발생일과 미발생일 간 차이가 크게 나타나 산곡풍의 영향이 봄에 두드러지게 나타남을 확인할 수 있었다. 한편 본 연구에서 적용한 산곡풍 발생일 및 미발생일 판단 기준에 따르면 발생일은 맑은 날, 미발생일은 대부분 흐린 날 또는 강수일의 특성을 보였다. 따라서 본 결과는 산곡풍발생에 의한 영향뿐 아니라 강수의 여부와 복사 조건 차이에 따른 효과가 함께 반영된 복합적인 결과로 판단된다.

이상의 결과로부터 산곡풍 순환이 탁월한 연구 지역에서는 주간의 고온 건조한 곡풍과 야간의 저온 다습한 산풍의 영향으로 기온의 가열·냉각률과 상대습도 등 주요 기상 요소에서 뚜렷한 변화가 나타남을 확인하였다. 이러한 기상 요소의 변화 특성에 대한 이해는 복잡 지형의 합리적 이용과 경제적 활용에 있어서 요구되는 국지 기상 환경 특성을 이해하는 데에 널리 이용할 수 있을 것으로 판단한다.

Acknowledgments

본 논문은 2026년도 계명대학교의 박사학위논문의 일부입니다.

REFERENCES

  • Eum, J. H., Son, J. M., Seo, K. H., Park, K. H., 2018, Management strategies of ventilation paths for improving thermal environment - A Case study of Gimhae, South Korea -, J. Korean Assoc. Geogr. Inf. Stud., 21(1), 115-127.
  • Hwang, S. E., Lee, Y. T., Shin, S. S., Kim, K. H., 2020, Study on the local weather characteristics using observation data at the Boseong tall tower, J. Korean Earth Sci. Soc., 41(5), 459-468. [https://doi.org/10.5467/JKESS.2020.41.5.459]
  • Jung, M., Kim, J. H., 2025, Characteristics of sea breezes on the three coasts of the Korean Peninsula using long-term ground observation data, Atmosphere, 35(2), 193-205.
  • Kim, G. H., Lee, Y. G., Lee, D. G., Kim, B. J., 2016, Analyzing the cooling effect of urban green areas by using the multiple observation network in the Seonjeongneung region of Seoul, Korea, J. Environ. Sci. Int., 25(11), 1475-1484. [https://doi.org/10.5322/JESI.2016.25.11.1475]
  • Kim, H. Y., Park, S. J., Kim, H. D., 2023, Statistical characteristics of local circulation winds observed using climate data in the complex terrain of Chilgok, Gyeongbuk, J. Environ. Sci. Int., 32(5), 375-384. [https://doi.org/10.5322/JESI.2023.32.5.375]
  • KMA, 2022, Changma white paper 2022, Korean Meteorological Administration, Daejeon, Korea.
  • KMA, 2025, Analysis of 113 Years of Climate Change in Korea (1912–2024), Korean Meteorological Administration, Daejeon, Korea.
  • Lee, H., Cho, S., Kang, M., Kim, J., Lee, H., Lee, M., Jeon, J., Yi, C., Jänicke, B., Cho, C., Kim, K. R., Kim, B., Kim, H., 2018, The quantitative analysis of cooling effect by urban forests in summer, KJAFM, 20(1), 73-87.
  • Lee, S. H., Kim, H. D., 2010, Modification of nocturnal drainage flow due to urban surface heat flux, Asia-Pac. J. Atmos. Sci., 46(4), 453-465. [https://doi.org/10.1007/s13143-010-0026-z]
  • Lehner, M., Rotach, M. W., Obleitner, F., 2019, A Method to identify synoptically undisturbed, clear-sky conditions for valley-wind analysis, Bound.-Layer Meteorol., 173(3), 435-450. [https://doi.org/10.1007/s10546-019-00471-2]
  • Potter, E. R., Orr, A., Willis, I. C., Bannister, D., Salerno, F., 2018, Dynamical drivers of the local wind regime in a Himalayan valley, J. Geophys. Res. Atmos., 123(23), 13186-13202. [https://doi.org/10.1029/2018JD029427]
  • WMO, 2023, Guide to instruments and methods of observation, Volume I - Measurement of meteorological variables, WMO-No. 8, World Meteorological Organization, Geneva, Switzerland.
  • Yu, B., Zhu, B., Miao, S., Kang, H., He, X., Liu, H., Liang, Z., Chen, F., 2021, Observational signal of the interaction between mountain–plain wind and urban breeze under weak synoptic systems, J. Geophys. Res. Atmos., 126(8), e2020JD032809. [https://doi.org/10.1029/2020JD032809]
  • Yu, B., Luo, Z., Chen, F., Xie, P., Miao, S., Zhong, Y., 2025, How complex terrains reshape urban wind patterns and cooling effects: Evidence from a high-density weather observation network in Hangzhou Bay, China, Sustain. Cities Soc., 130, 106526. [https://doi.org/10.1016/j.scs.2025.106526]
  • Zardi, D., Whiteman, C. D., 2013, Diurnal mountain wind systems, in: Chow, F. K., De Wekker, S. F. J., Snyder, B. J. (eds.), Mountain weather research and forecasting: Recent progress and current challenges, Springer, Dordrecht, 35-119. [https://doi.org/10.1007/978-94-007-4098-3_2]
∙ Professor. Hae-Dong Kim

Department of Environmental Engineering, College of Engineering, Keimyung Universitykhd@kmu.ac.kr

∙ Ph.D. Ha-Young, Kim

Department of Environmental Science, Keimyung Universityhyk2410@naver.com

Fig. 1.

Fig. 1.
Locations of meteorological data observation sites.

Fig. 2.

Fig. 2.
Flow chart to select mountain-valley winds occurrence day and non-occurrence day.

Fig. 3.

Fig. 3.
The number of mountain-valley winds days and monthly mean of daily temperature range at Chilgok and Dongyeong for (a) Occurrence day and (b) Non-occurrence day.

Fig. 4.

Fig. 4.
Monthly variation time of the valley wind for (a) Spring, (b) Summer, (c) Fall and (d) Winter.

Fig. 5.

Fig. 5.
Monthly variation time of the mountain wind for (a) Spring, (b) Summer, (c) Fall and (d) Winter.

Fig. 6.

Fig. 6.
Seasonal variation time of the mountain-valley winds for (a) Spring, (b) Summer, (c) Fall and (d) Winter.

Fig. 7.

Fig. 7.
Monthly mean of duration of the mountain-valley winds.

Fig. 8.

Fig. 8.
Temporal variation of hourly air temperature change during mountain-valley winds occurrence day and non-occurrence day at Dongyeong for (a) Spring, (b) Summer, (c) Fall and (d) Winter.

Fig. 9.

Fig. 9.
Temporal variation of hourly air temperature change during mountain-valley winds occurrence day and non-occurrence day at Chilgok for (a) Spring, (b) Summer, (c) Fall and (d) Winter.

Fig. 10.

Fig. 10.
Temporal variation of hourly relative humidity change during mountain-valley winds occurrence day and non-occurrence day at Dongyeong for (a) Spring, (b) Summer, (c) Fall and (d) Winter.

Fig. 11.

Fig. 11.
Temporal variation of hourly relative humidity change during mountain-valley winds occurrence day and non-occurrence day at Chilgok for (a) Spring, (b) Summer, (c) Fall and (d) Winter.

Table 1.

Seasonal mean of hourly heating rate and difference (℃ h-1) at Chilgok and Dongyeong during valley wind appearance time

Day type Chilgok Dongyeong
Spring Summer Fall Winter Spring Summer Fall Winter
Occurrence day 1.8 1.3 1.9 1.7 1.5 1.1 1.6 1.3
Non-occurrence day 0.3 0.4 0.6 0.6 0.3 0.3 0.5 0.5
Difference 1.5 0.9 1.3 1.1 1.2 0.8 1.1 0.8

Table 2.

Seasonal mean of hourly cooling rate and difference (℃ h-1) at Chilgok and Dongyeong during mountain wind appearance time

Day type Chilgok Dongyeong
Spring Summer Fall Winter Spring Summer Fall Winter
Occurrence day -1.1 -0.9 -0.9 -0.7 -0.8 -0.7 -0.6 -0.4
Non-occurrence day -0.3 -0.2 -0.4 -0.4 -0.3 -0.2 -0.3 -0.4
Difference -0.8 -0.7 -0.5 -0.3 -0.5 -0.5 -0.3 0.0